🇳🇴 🇬🇧 🇩🇪 🇨🇿 🇫🇮

Meteor, poloha: Gvarv 2021-10-22 20:59:19 UTC

Soubor KML  |  InteraktivnĂ­ mapa

Mapa zobrazuje dráhy meteoru. Světlejší čáry ukazují směry od pozorovacích stanic při objevení se meteoru a tmavší čáry, kde byl naposledy viděn. Modrá šipka značí viditelnou dráhu meteoru.

static map
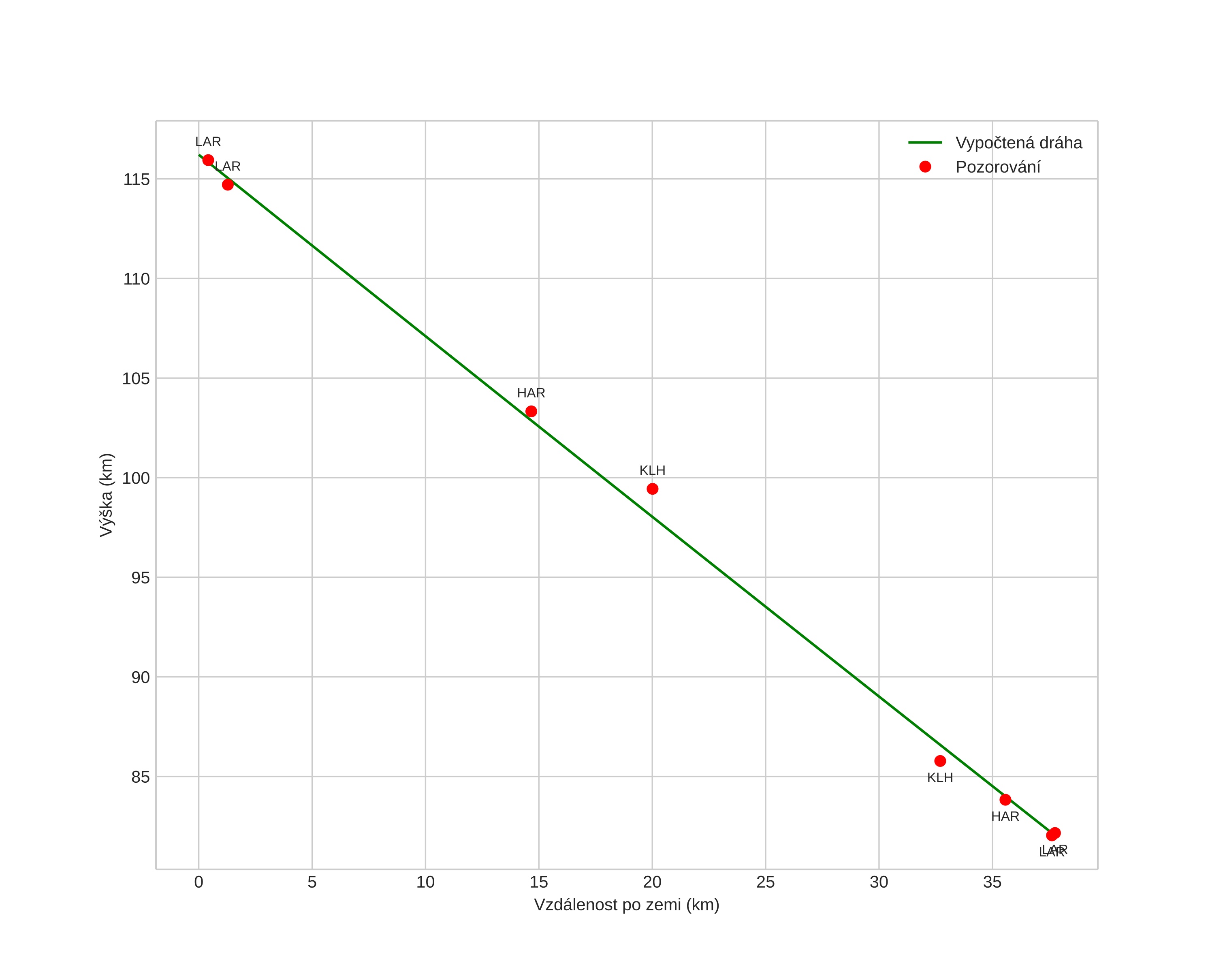
height profile
Atmosférická dráha meteoru:
Počáteční výška: 110,2 km
Konečná výška: 83,1 km
Počáteční poloha: 59,636N 9,484E
Konečná poloha: 59,356N 9,130E
Směr: 212,8°
Sklon: 36,2°
VstupnĂ­ rychlost: 61,6 km/s
Rektascenze radiantu: 07:56 (119,1°)
Deklinace radiantu: 58,3°
MeteorickĂ˝ roj: sporadickĂ˝
Elementy dráhy meteoroidu:
Vzdálenost v periheliu: 0,940 AU
Excentricita: 0,926
Sklon dráhy: 116,1°
Délka vzestupného uzlu: 209,4°
Argument perihelia: 207,7°
Střední anomálie: 359,6°
Epocha: 2021 OCT 22 20:59:19
orbit plot

NeinteraktivnĂ­ graf | InteraktivnĂ­ graf

position vs time
speed and acceleration