🇳🇴 🇬🇧 🇩🇪 🇨🇿 🇫🇮

Meteor, poloha: Overstrand 2021-10-23 02:39:48 UTC

Soubor KML  |  InteraktivnĂ­ mapa

Mapa zobrazuje dráhy meteoru. Světlejší čáry ukazují směry od pozorovacích stanic při objevení se meteoru a tmavší čáry, kde byl naposledy viděn. Modrá šipka značí viditelnou dráhu meteoru.

static map
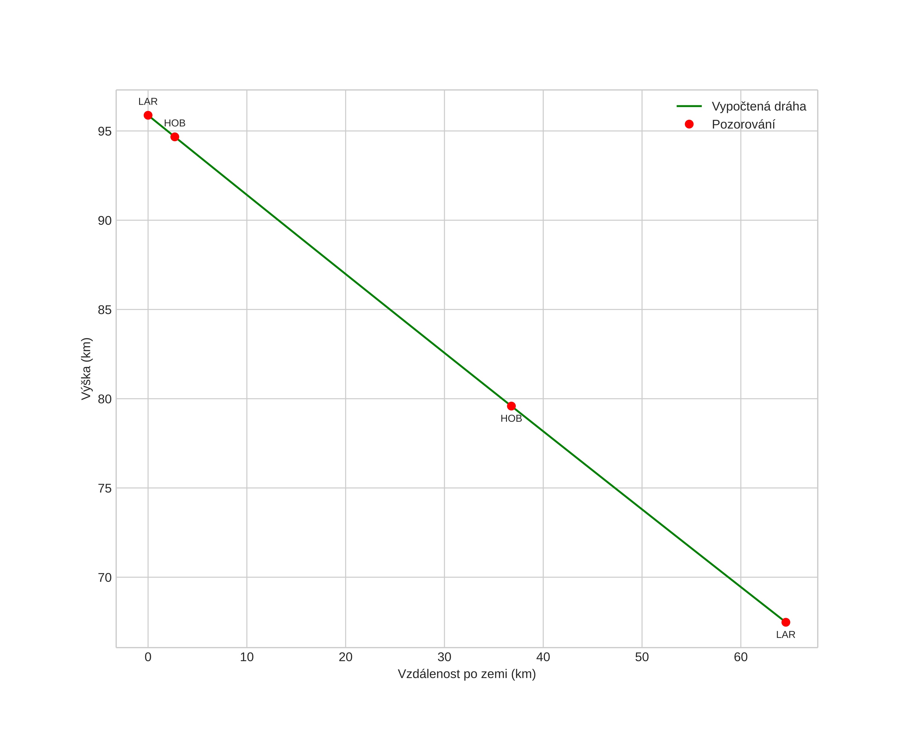
height profile
Atmosférická dráha meteoru:
Počáteční výška: 100,4 km
Konečná výška: 73,0 km
Počáteční poloha: 54,559N 2,494E
Konečná poloha: 55,097N 2,284E
Směr: 347,4°
Sklon: 24,1°
VstupnĂ­ rychlost: 78,5 km/s
Rektascenze radiantu: 05:41 (85,4°)
Deklinace radiantu: -11,0°
MeteorickĂ˝ roj: sporadickĂ˝
Elementy dráhy meteoroidu:
Vzdálenost v periheliu: 0,735 AU
Excentricita: 2,692
Sklon dráhy: 117,2°
Délka vzestupného uzlu: 29,6°
Argument perihelia: 50,1°
Střední anomálie: -70,9°
Epocha: 2021 OCT 23 02:39:48
orbit plot

NeinteraktivnĂ­ graf | InteraktivnĂ­ graf

position vs time
speed and acceleration