🇳🇴 🇬🇧 🇩🇪 🇨🇿 🇫🇮

Meteor, poloha: Bua 2021-11-04 22:35:01 UTC

Soubor KML  |  InteraktivnĂ­ mapa

Mapa zobrazuje dráhy meteoru. Světlejší čáry ukazují směry od pozorovacích stanic při objevení se meteoru a tmavší čáry, kde byl naposledy viděn. Modrá šipka značí viditelnou dráhu meteoru.

static map
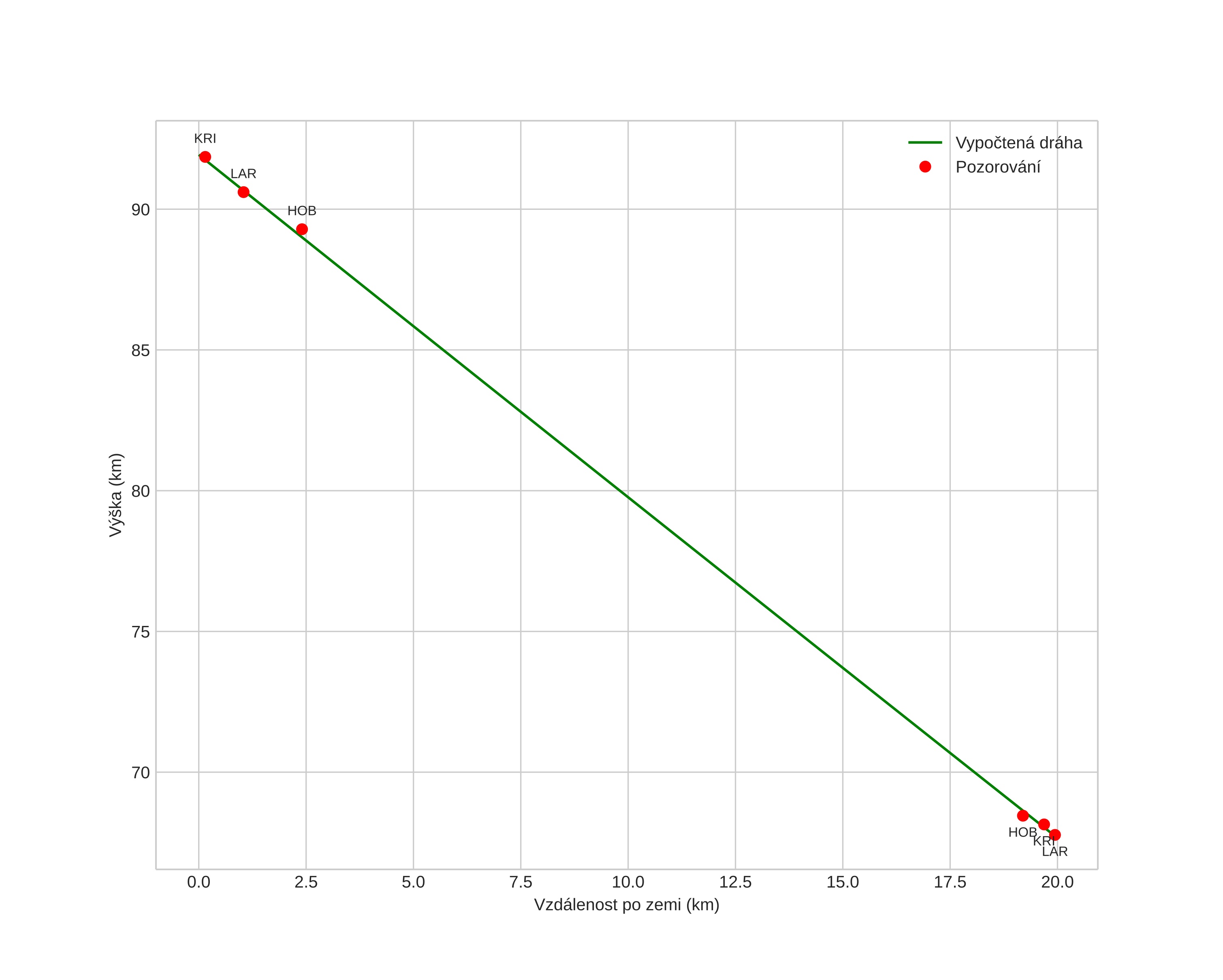
height profile
Atmosférická dráha meteoru:
Počáteční výška: 90,7 km
Konečná výška: 68,4 km
Počáteční poloha: 56,833N 11,850E
Konečná poloha: 56,973N 11,697E
Směr: 329,2°
Sklon: 50,8°
VstupnĂ­ rychlost: 37,1 km/s
Rektascenze radiantu: 03:38 (54,7°)
Deklinace radiantu: 19,6°
MeteorickĂ˝ roj: sporadickĂ˝
Elementy dráhy meteoroidu:
Vzdálenost v periheliu: 0,253 AU
Excentricita: 0,960
Sklon dráhy: 0,2°
Délka vzestupného uzlu: 221,8°
Argument perihelia: 302,1°
Střední anomálie: 357,7°
Epocha: 2021 NOV 04 22:35:01
orbit plot

NeinteraktivnĂ­ graf | InteraktivnĂ­ graf

position vs time
speed and acceleration