🇳🇴 🇬🇧 🇩🇪 🇨🇿 🇫🇮

Meteor, poloha: Rindal 2021-11-05 02:42:26 UTC

Soubor KML  |  InteraktivnĂ­ mapa

Mapa zobrazuje dráhy meteoru. Světlejší čáry ukazují směry od pozorovacích stanic při objevení se meteoru a tmavší čáry, kde byl naposledy viděn. Modrá šipka značí viditelnou dráhu meteoru.

static map
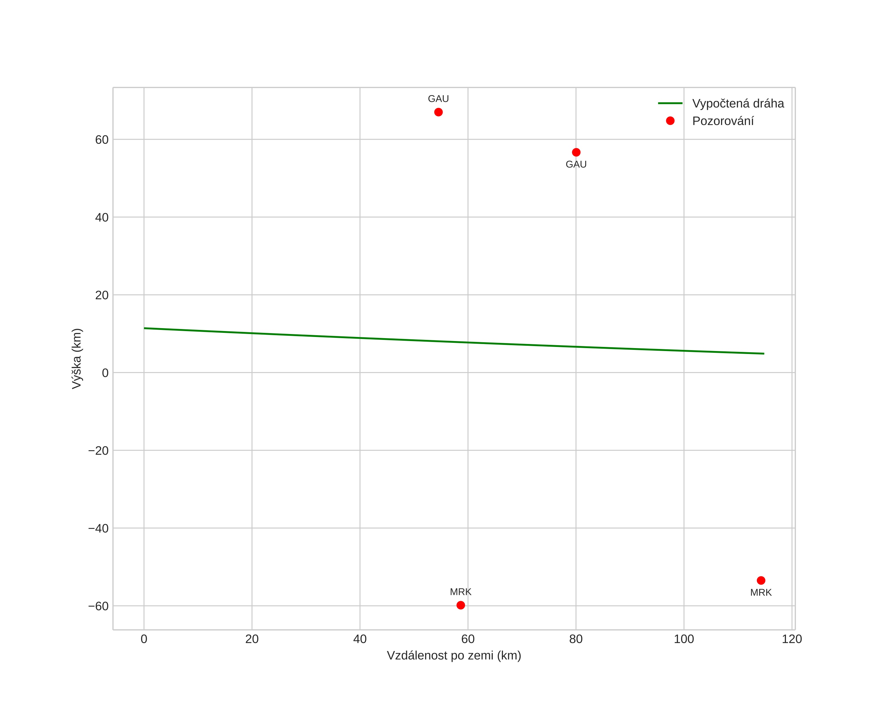
height profile
Atmosférická dráha meteoru:
Počáteční výška: 11,3 km
Konečná výška: 4,9 km
Počáteční poloha: 62,159N 10,005E
Konečná poloha: 63,152N 9,400E
Směr: 344,6°
Sklon: 3,2°
VstupnĂ­ rychlost: 93,4 km/s
Rektascenze radiantu: 07:26 (111,6°)
Deklinace radiantu: -24,0°
MeteorickĂ˝ roj: sporadickĂ˝
Elementy dráhy meteoroidu:
Vzdálenost v periheliu: 0,964 AU
Excentricita: 5,255
Sklon dráhy: 116,8°
Délka vzestupného uzlu: 42,6°
Argument perihelia: 14,8°
Střední anomálie: -53,0°
Epocha: 2021 NOV 05 02:42:26
orbit plot

NeinteraktivnĂ­ graf | InteraktivnĂ­ graf

position vs time
speed and acceleration