🇳🇴 🇬🇧 🇩🇪 🇨🇿 🇫🇮

Meteor, poloha: Spetalen 2021-11-05 18:41:47 UTC

Soubor KML  |  InteraktivnĂ­ mapa

Mapa zobrazuje dráhy meteoru. Světlejší čáry ukazují směry od pozorovacích stanic při objevení se meteoru a tmavší čáry, kde byl naposledy viděn. Modrá šipka značí viditelnou dráhu meteoru.

static map
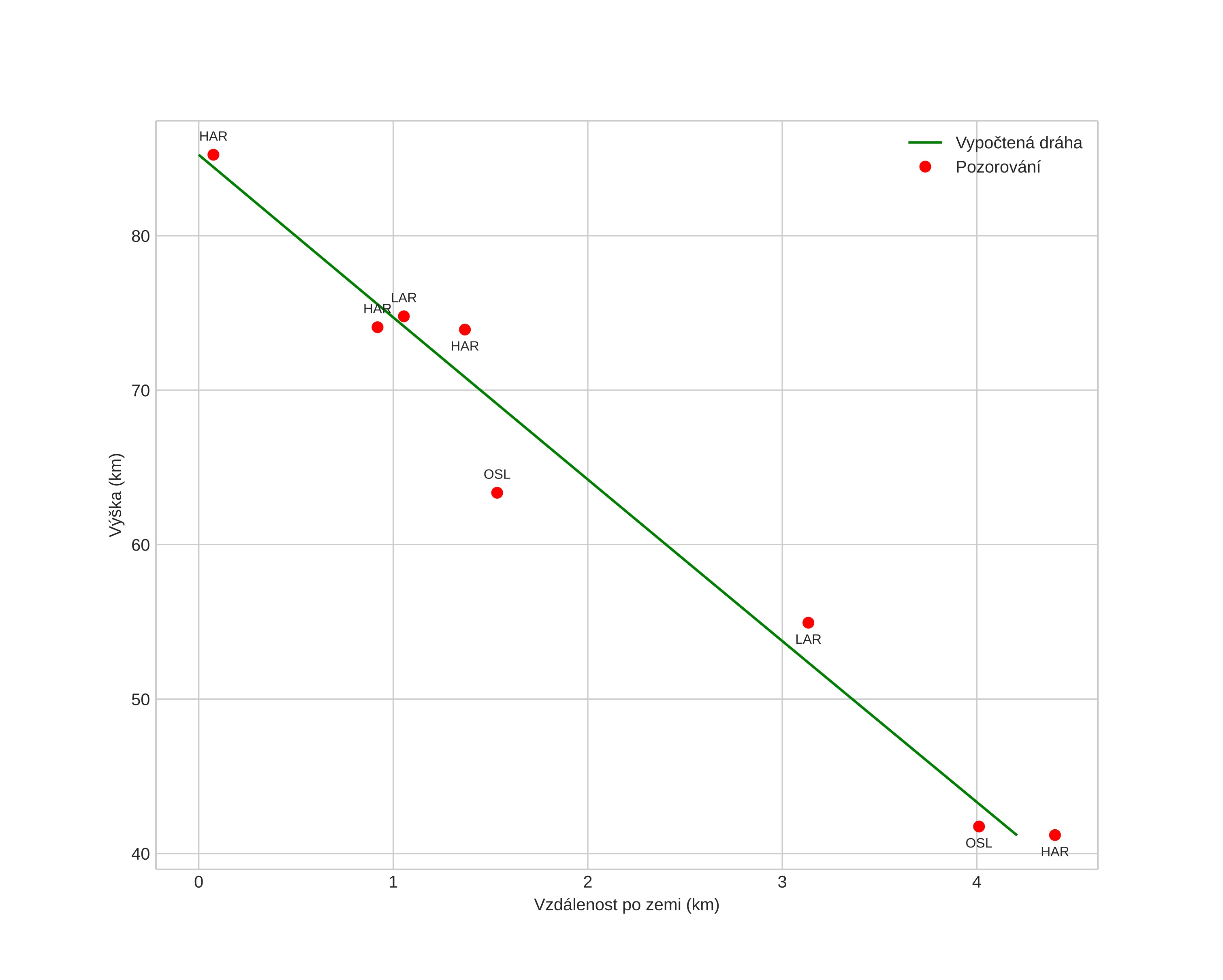
height profile
Atmosférická dráha meteoru:
Počáteční výška: 85,1 km
Konečná výška: 41,5 km
Počáteční poloha: 60,057N 11,846E
Konečná poloha: 60,094N 11,813E
Směr: 336,0°
Sklon: 84,2°
VstupnĂ­ rychlost: 21,3 km/s
Rektascenze radiantu: 22:41 (340,4°)
Deklinace radiantu: 54,0°
MeteorickĂ˝ roj: sporadickĂ˝
Elementy dráhy meteoroidu:
Vzdálenost v periheliu: 0,923 AU
Excentricita: 0,743
Sklon dráhy: 23,0°
Délka vzestupného uzlu: 223,3°
Argument perihelia: 213,0°
Střední anomálie: 356,6°
Epocha: 2021 NOV 05 18:41:47
orbit plot

NeinteraktivnĂ­ graf | InteraktivnĂ­ graf

position vs time
speed and acceleration