🇳🇴 🇬🇧 🇩🇪 🇨🇿 🇫🇮

Meteor, poloha: Stokmarknes 2021-11-08 21:21:17 UTC

Soubor KML  |  InteraktivnĂ­ mapa

Mapa zobrazuje dráhy meteoru. Světlejší čáry ukazují směry od pozorovacích stanic při objevení se meteoru a tmavší čáry, kde byl naposledy viděn. Modrá šipka značí viditelnou dráhu meteoru.

static map
height profile
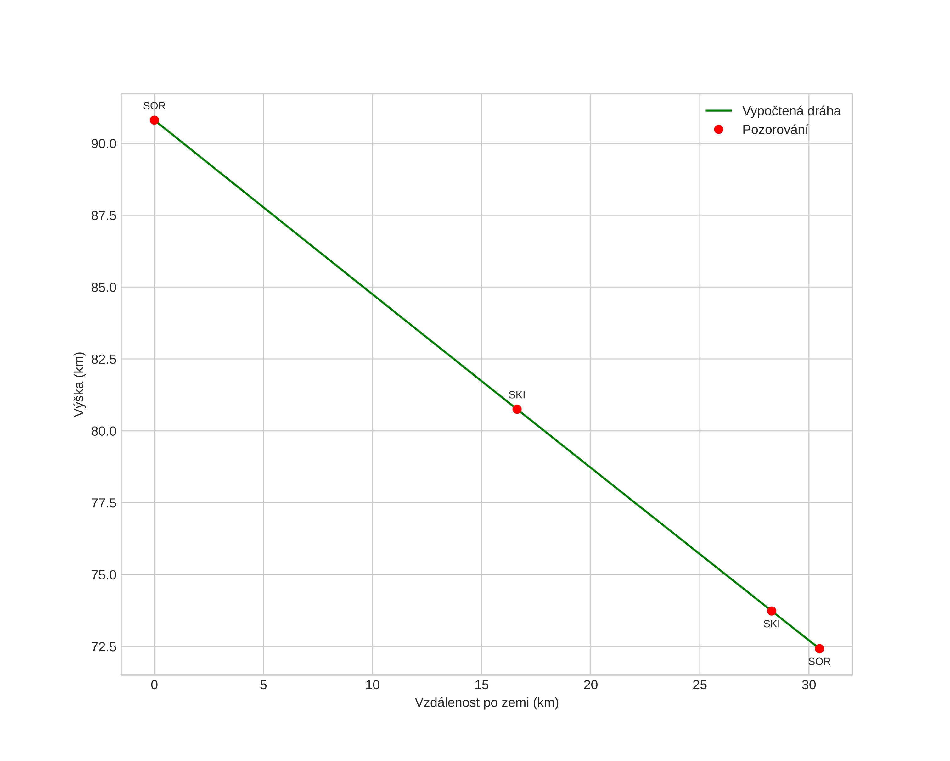
Atmosférická dráha meteoru:
Počáteční výška: 90,2 km
Konečná výška: 73,4 km
Počáteční poloha: 68,433N 15,528E
Konečná poloha: 68,552N 14,914E
Směr: 298,2°
Sklon: 30,7°
VstupnĂ­ rychlost: 29,6 km/s
Rektascenze radiantu: 05:10 (77,6°)
Deklinace radiantu: 16,7°
MeteorickĂ˝ roj: sporadickĂ˝
Elementy dráhy meteoroidu:
Vzdálenost v periheliu: 0,157 AU
Excentricita: 0,827
Sklon dráhy: 10,7°
Délka vzestupného uzlu: 46,4°
Argument perihelia: 149,3°
Střední anomálie: 310,6°
Epocha: 2021 NOV 08 21:21:17
orbit plot

NeinteraktivnĂ­ graf | InteraktivnĂ­ graf

position vs time
speed and acceleration