🇳🇴 🇬🇧 🇩🇪 🇨🇿 🇫🇮

Meteor Storslettin yllä 2021-11-10 03:45:09 UTC

KML-tiedosto  |  Interaktiivinen kartta

Kartta näyttää meteorin suuntahavainnot. Vaaleammat viivat näyttävät suunnat havaintoasemilta meteorin ilmestyessä, ja tummemmat viivat näyttävät, missä se viimeksi nähtiin. Sininen nuoli näyttää meteorin näkyvän lennon.

static map
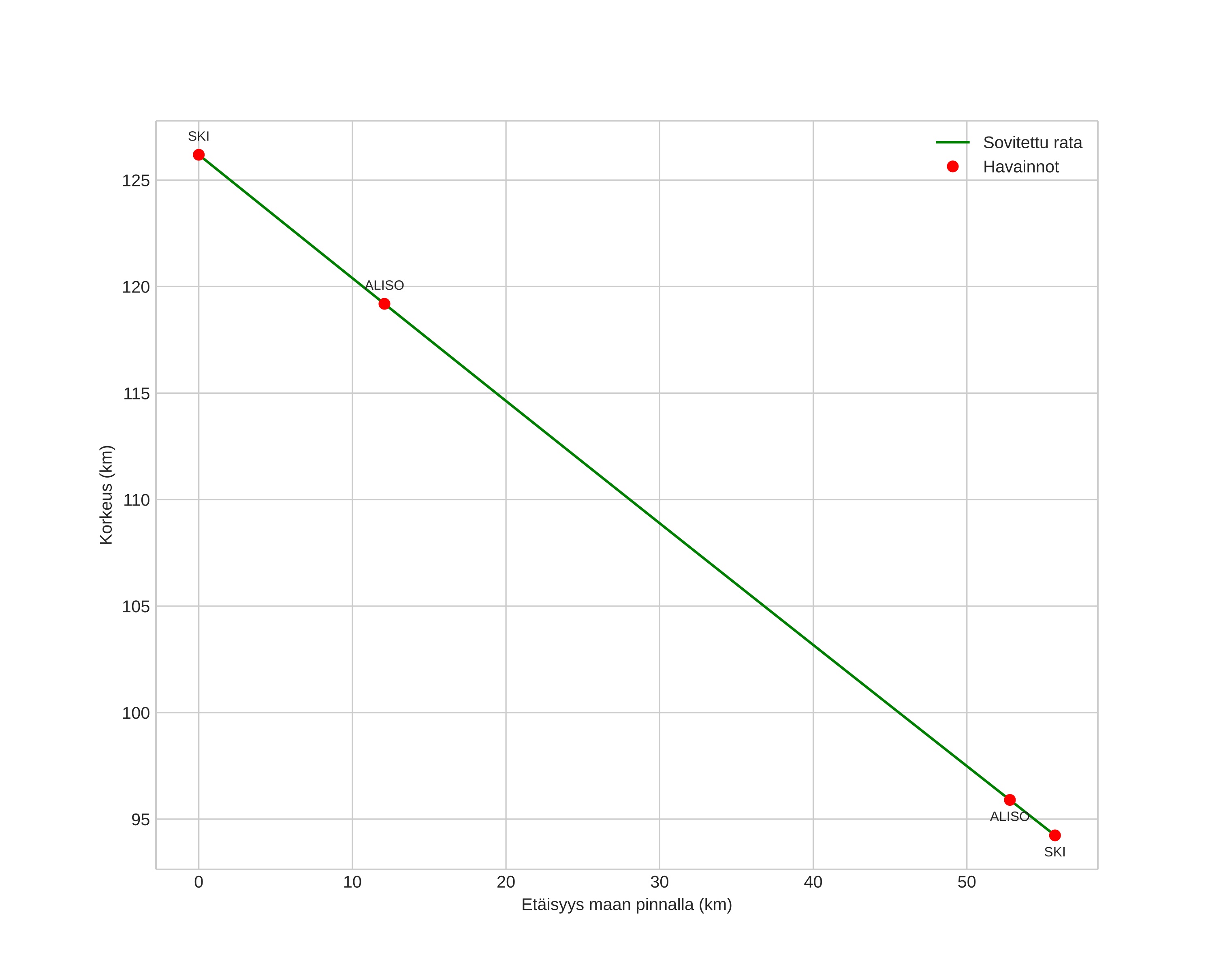
height profile
Meteorin ilmakehärata:
Alkukorkeus: 123,4 km
Loppukorkeus: 93,5 km
Alkupiste: 68,376N 20,218E
Loppupiste: 68,466N 21,470E
Suunta: 78,4°
Kallistuskulma: 29,8°
Tulonopeus: 38,0 km/s
Radiantin R,A,: 03:48 (57,1°)
Radiantin Dekl,: 21,9°
Meteoriparvi: Sporadinen
Meteoroidin rataelementit:
Perihelietäisyys: 0,279 AU
Eksentrisyys: 1,004
Inklinaatio: 3,0°
Nousevan solmun pituus: 227,6°
Perihelin argumentti: 295,7°
Keskianomalia: -0,1°
Epookki: 2021 NOV 10 03:45:09
orbit plot

Ei-interaktiivinen kuvaaja | Interaktiivinen kuvaaja

position vs time
speed and acceleration