🇳🇴 🇬🇧 🇩🇪 🇨🇿 🇫🇮

Meteor, poloha: Nesbyen 2021-11-10 04:08:50 UTC

Soubor KML  |  InteraktivnĂ­ mapa

Mapa zobrazuje dráhy meteoru. Světlejší čáry ukazují směry od pozorovacích stanic při objevení se meteoru a tmavší čáry, kde byl naposledy viděn. Modrá šipka značí viditelnou dráhu meteoru.

static map
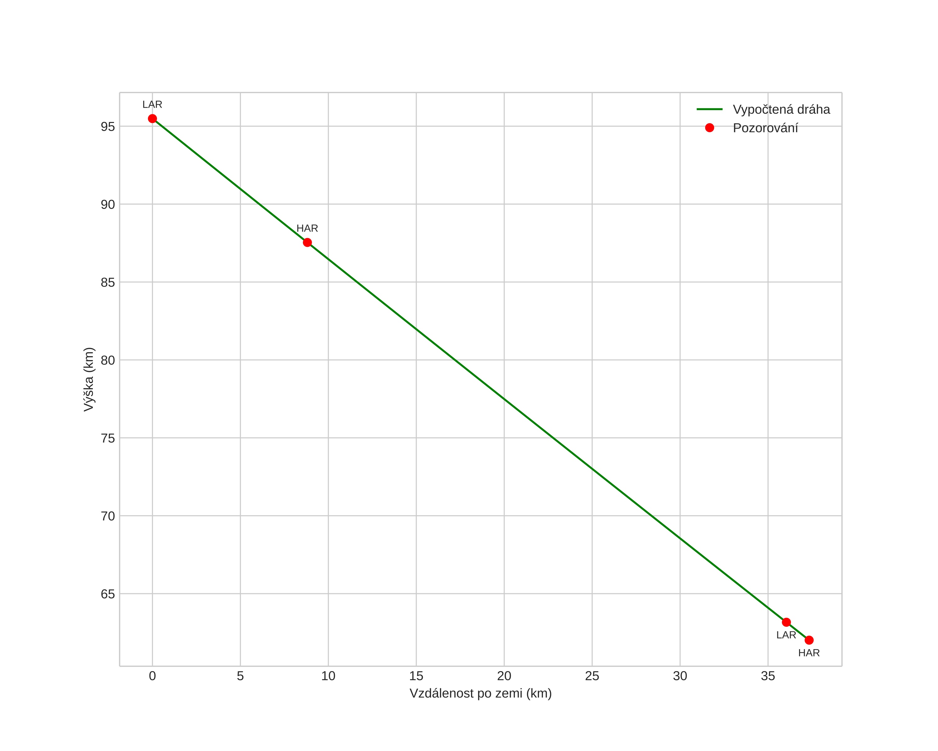
height profile
Atmosférická dráha meteoru:
Počáteční výška: 97,4 km
Konečná výška: 62,2 km
Počáteční poloha: 60,297N 8,404E
Konečná poloha: 60,394N 9,088E
Směr: 73,6°
Sklon: 41,9°
VstupnĂ­ rychlost: 36,4 km/s
Rektascenze radiantu: 04:18 (64,6°)
Deklinace radiantu: 27,1°
MeteorickĂ˝ roj: sporadickĂ˝
Elementy dráhy meteoroidu:
Vzdálenost v periheliu: 0,201 AU
Excentricita: 0,921
Sklon dráhy: 10,6°
Délka vzestupného uzlu: 227,7°
Argument perihelia: 311,5°
Střední anomálie: 351,0°
Epocha: 2021 NOV 10 04:08:50
orbit plot

NeinteraktivnĂ­ graf | InteraktivnĂ­ graf

position vs time
speed and acceleration