🇳🇴 🇬🇧 🇩🇪 🇨🇿 🇫🇮

Meteor, poloha: Malung 2021-11-10 20:24:55 UTC

Soubor KML  |  InteraktivnĂ­ mapa

Mapa zobrazuje dráhy meteoru. Světlejší čáry ukazují směry od pozorovacích stanic při objevení se meteoru a tmavší čáry, kde byl naposledy viděn. Modrá šipka značí viditelnou dráhu meteoru.

static map
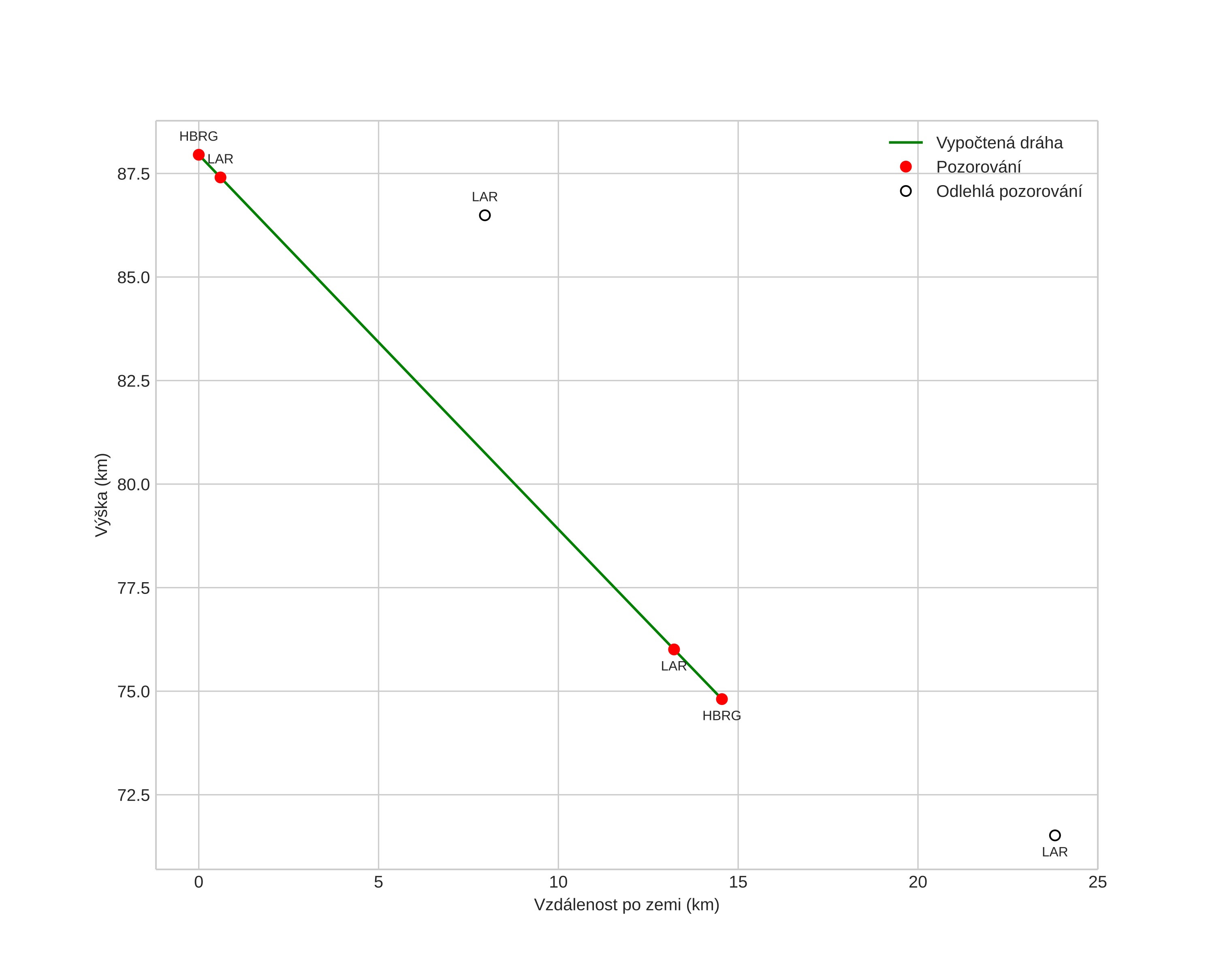
height profile
Atmosférická dráha meteoru:
Počáteční výška: 89,7 km
Konečná výška: 61,6 km
Počáteční poloha: 60,680N 13,786E
Konečná poloha: 60,807N 13,263E
Směr: 296,8°
Sklon: 41,5°
VstupnĂ­ rychlost: 29,7 km/s
Rektascenze radiantu: 03:50 (57,7°)
Deklinace radiantu: 22,7°
MeteorickĂ˝ roj: SevernĂ­ Tauridy
Elementy dráhy meteoroidu:
Vzdálenost v periheliu: 0,364 AU
Excentricita: 0,812
Sklon dráhy: 2,8°
Délka vzestupného uzlu: 228,3°
Argument perihelia: 294,4°
Střední anomálie: 344,1°
Epocha: 2021 NOV 10 20:24:55
orbit plot

NeinteraktivnĂ­ graf | InteraktivnĂ­ graf

position vs time
speed and acceleration