🇳🇴 🇬🇧 🇩🇪 🇨🇿 🇫🇮

Meteor, poloha: Kinna 2021-11-10 23:52:38 UTC

Soubor KML  |  InteraktivnĂ­ mapa

Mapa zobrazuje dráhy meteoru. Světlejší čáry ukazují směry od pozorovacích stanic při objevení se meteoru a tmavší čáry, kde byl naposledy viděn. Modrá šipka značí viditelnou dráhu meteoru.

static map
height profile
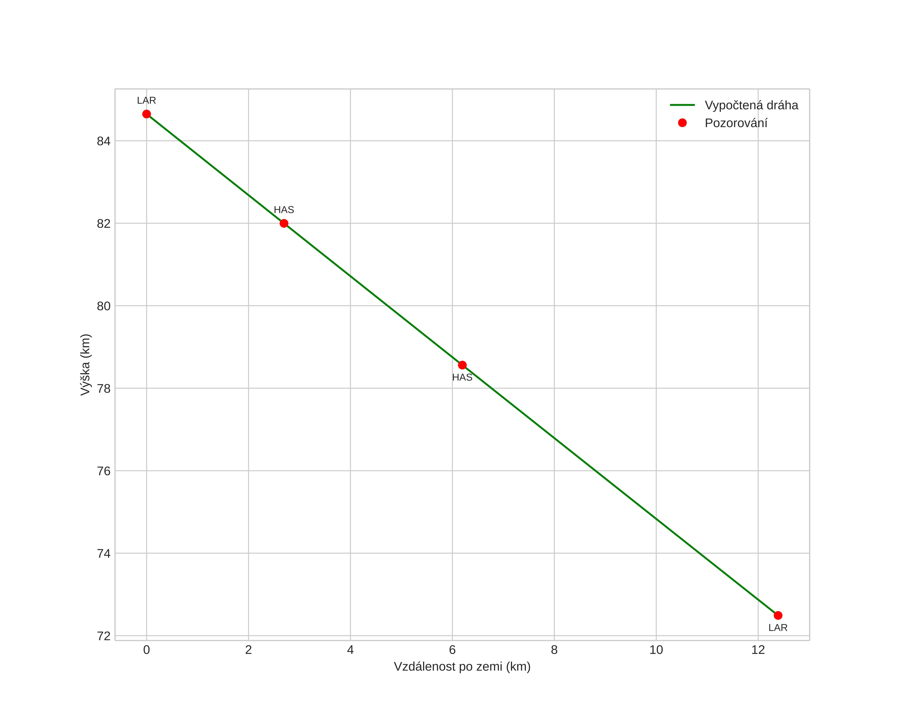
Atmosférická dráha meteoru:
Počáteční výška: 84,8 km
Konečná výška: 72,4 km
Počáteční poloha: 57,381N 12,631E
Konečná poloha: 57,483N 12,713E
Směr: 23,2°
Sklon: 44,9°
VstupnĂ­ rychlost: 30,8 km/s
Rektascenze radiantu: 02:52 (43,2°)
Deklinace radiantu: 12,3°
MeteorickĂ˝ roj: sporadickĂ˝
Elementy dráhy meteoroidu:
Vzdálenost v periheliu: 0,556 AU
Excentricita: 1,057
Sklon dráhy: 3,6°
Délka vzestupného uzlu: 48,5°
Argument perihelia: 81,5°
Střední anomálie: -1,2°
Epocha: 2021 NOV 10 23:52:38
orbit plot

NeinteraktivnĂ­ graf | InteraktivnĂ­ graf

position vs time
speed and acceleration