🇳🇴 🇬🇧 🇩🇪 🇨🇿 🇫🇮

Meteor, poloha: Hanstholm 2021-11-11 00:41:20 UTC

Soubor KML  |  InteraktivnĂ­ mapa

Mapa zobrazuje dráhy meteoru. Světlejší čáry ukazují směry od pozorovacích stanic při objevení se meteoru a tmavší čáry, kde byl naposledy viděn. Modrá šipka značí viditelnou dráhu meteoru.

static map
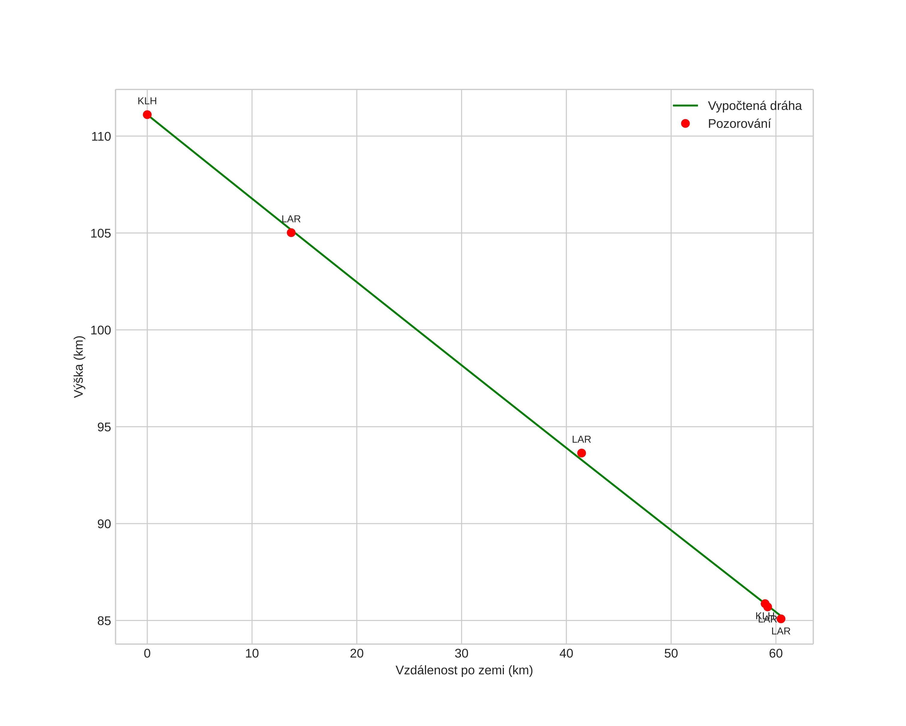
height profile
Atmosférická dráha meteoru:
Počáteční výška: 110,8 km
Konečná výška: 84,7 km
Počáteční poloha: 57,098N 9,580E
Konečná poloha: 57,522N 8,947E
Směr: 321,4°
Sklon: 23,3°
VstupnĂ­ rychlost: 62,4 km/s
Rektascenze radiantu: 06:59 (105,0°)
Deklinace radiantu: -3,8°
MeteorickĂ˝ roj: sporadickĂ˝
Elementy dráhy meteoroidu:
Vzdálenost v periheliu: 0,548 AU
Excentricita: 1,053
Sklon dráhy: 121,3°
Délka vzestupného uzlu: 48,5°
Argument perihelia: 82,6°
Střední anomálie: -1,1°
Epocha: 2021 NOV 11 00:41:20
orbit plot

NeinteraktivnĂ­ graf | InteraktivnĂ­ graf

position vs time
speed and acceleration