🇳🇴 🇬🇧 🇩🇪 🇨🇿 🇫🇮

Meteor, poloha: Ans 2021-11-11 19:12:25 UTC

Soubor KML  |  InteraktivnĂ­ mapa

Mapa zobrazuje dráhy meteoru. Světlejší čáry ukazují směry od pozorovacích stanic při objevení se meteoru a tmavší čáry, kde byl naposledy viděn. Modrá šipka značí viditelnou dráhu meteoru.

static map
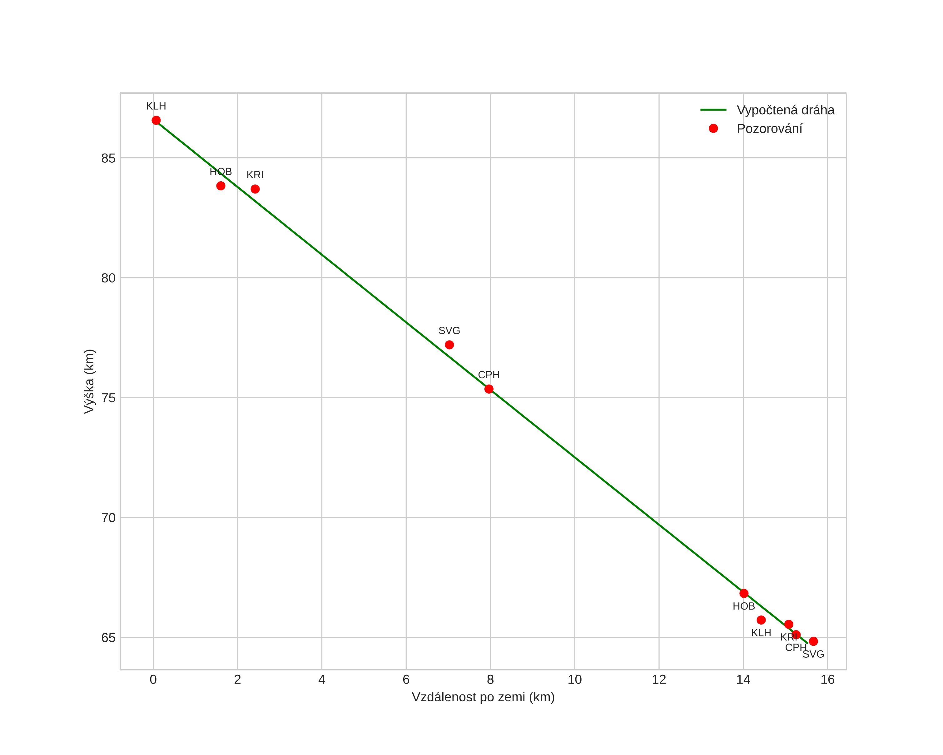
height profile
Atmosférická dráha meteoru:
Počáteční výška: 86,6 km
Konečná výška: 64,7 km
Počáteční poloha: 56,278N 9,376E
Konečná poloha: 56,229N 9,613E
Směr: 110,2°
Sklon: 54,6°
VstupnĂ­ rychlost: 23,8 km/s
Rektascenze radiantu: 18:51 (282,9°)
Deklinace radiantu: 50,3°
MeteorickĂ˝ roj: sporadickĂ˝
Elementy dráhy meteoroidu:
Vzdálenost v periheliu: 0,988 AU
Excentricita: 0,910
Sklon dráhy: 29,3°
Délka vzestupného uzlu: 229,3°
Argument perihelia: 174,5°
Střední anomálie: 0,1°
Epocha: 2021 NOV 11 19:12:25
orbit plot

NeinteraktivnĂ­ graf | InteraktivnĂ­ graf

position vs time
speed and acceleration