🇳🇴 🇬🇧 🇩🇪 🇨🇿 🇫🇮

Meteor, poloha: Veddige 2021-11-11 22:26:29 UTC

Soubor KML  |  InteraktivnĂ­ mapa

Mapa zobrazuje dráhy meteoru. Světlejší čáry ukazují směry od pozorovacích stanic při objevení se meteoru a tmavší čáry, kde byl naposledy viděn. Modrá šipka značí viditelnou dráhu meteoru.

static map
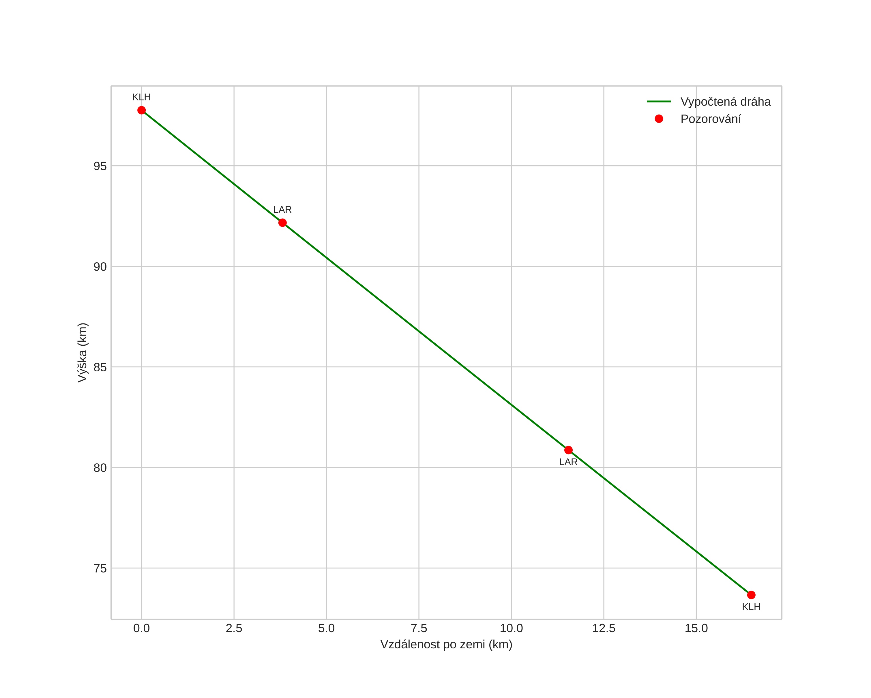
height profile
Atmosférická dráha meteoru:
Počáteční výška: 97,7 km
Konečná výška: 73,7 km
Počáteční poloha: 57,337N 12,482E
Konečná poloha: 57,259N 12,253E
Směr: 237,8°
Sklon: 55,8°
VstupnĂ­ rychlost: 56,2 km/s
Rektascenze radiantu: 07:11 (107,8°)
Deklinace radiantu: 59,1°
MeteorickĂ˝ roj: sporadickĂ˝
Elementy dráhy meteoroidu:
Vzdálenost v periheliu: 0,587 AU
Excentricita: 1,042
Sklon dráhy: 98,2°
Délka vzestupného uzlu: 229,5°
Argument perihelia: 258,4°
Střední anomálie: -0,7°
Epocha: 2021 NOV 11 22:26:29
orbit plot

NeinteraktivnĂ­ graf | InteraktivnĂ­ graf

position vs time
speed and acceleration