🇳🇴 🇬🇧 🇩🇪 🇨🇿 🇫🇮

Meteor, poloha: Fossbergom 2021-11-13 20:30:18 UTC

Soubor KML  |  InteraktivnĂ­ mapa

Mapa zobrazuje dráhy meteoru. Světlejší čáry ukazují směry od pozorovacích stanic při objevení se meteoru a tmavší čáry, kde byl naposledy viděn. Modrá šipka značí viditelnou dráhu meteoru.

static map
height profile
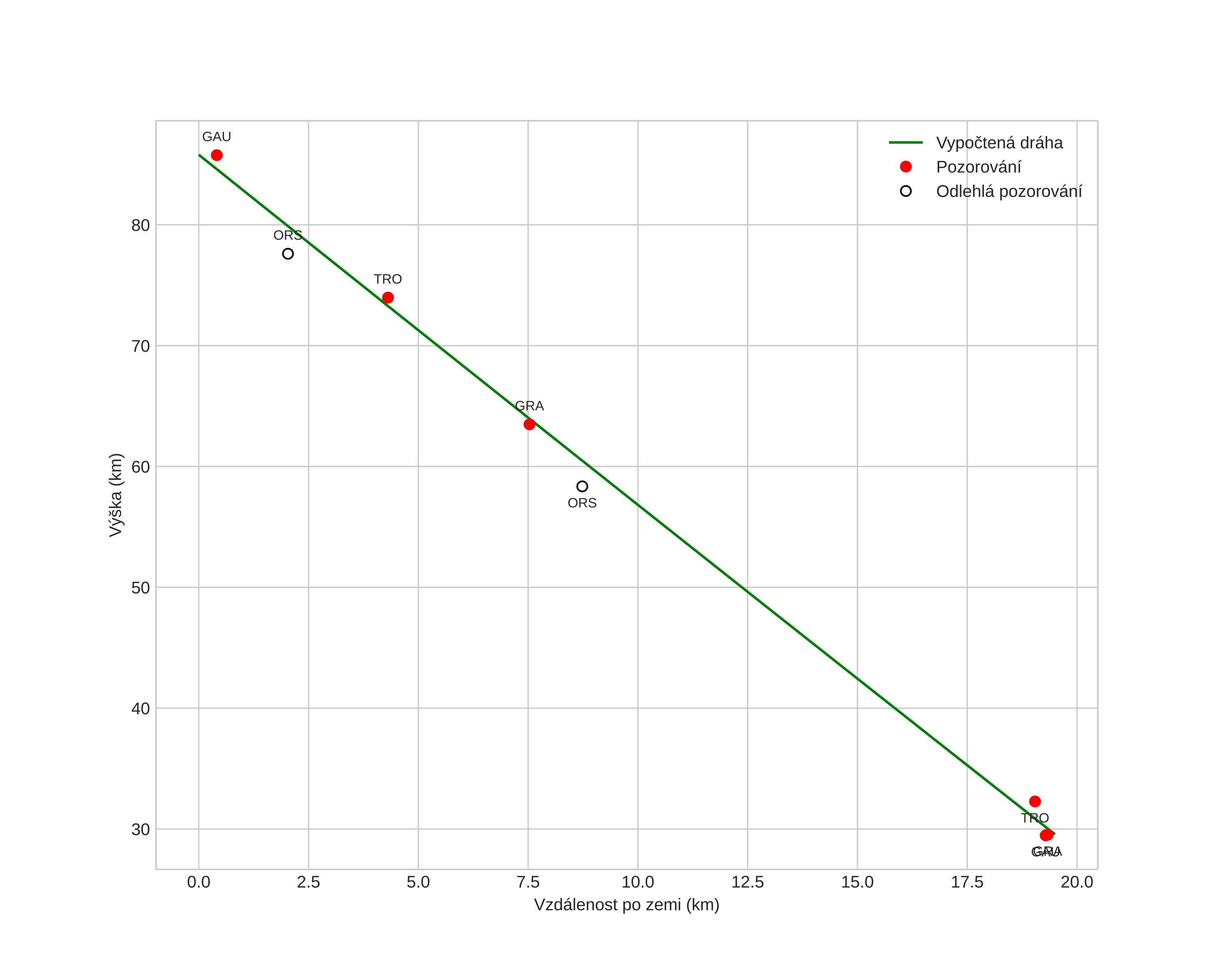
Atmosférická dráha meteoru:
Počáteční výška: 85,6 km
Konečná výška: 29,6 km
Počáteční poloha: 61,384N 8,570E
Konečná poloha: 61,537N 8,473E
Směr: 343,3°
Sklon: 72,4°
VstupnĂ­ rychlost: 17,2 km/s
Rektascenze radiantu: 01:01 (15,4°)
Deklinace radiantu: 41,7°
MeteorickĂ˝ roj: sporadickĂ˝
Elementy dráhy meteoroidu:
Vzdálenost v periheliu: 0,858 AU
Excentricita: 0,534
Sklon dráhy: 11,7°
Délka vzestupného uzlu: 231,4°
Argument perihelia: 231,8°
Střední anomálie: 345,3°
Epocha: 2021 NOV 13 20:30:18
orbit plot

NeinteraktivnĂ­ graf | InteraktivnĂ­ graf

position vs time
speed and acceleration