🇳🇴 🇬🇧 🇩🇪 🇨🇿 🇫🇮

Meteor, poloha: Ulefoss 2021-11-18 17:16:38 UTC

Soubor KML  |  InteraktivnĂ­ mapa

Mapa zobrazuje dráhy meteoru. Světlejší čáry ukazují směry od pozorovacích stanic při objevení se meteoru a tmavší čáry, kde byl naposledy viděn. Modrá šipka značí viditelnou dráhu meteoru.

static map
height profile
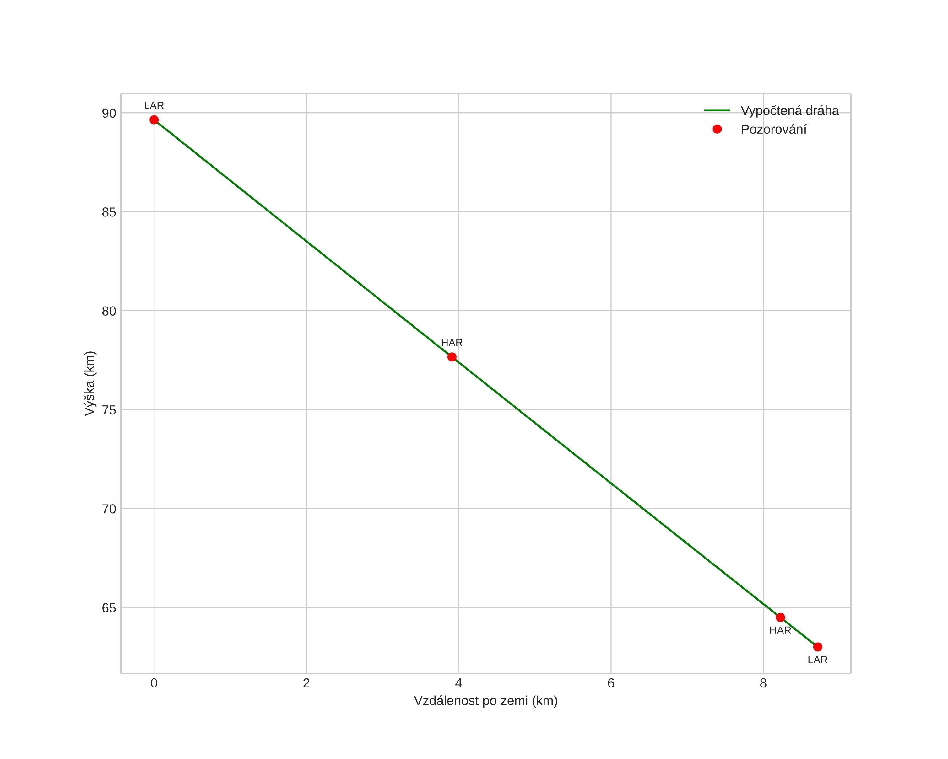
Atmosférická dráha meteoru:
Počáteční výška: 89,6 km
Konečná výška: 63,8 km
Počáteční poloha: 59,097N 9,333E
Konečná poloha: 59,148N 9,226E
Směr: 313,2°
Sklon: 72,0°
VstupnĂ­ rychlost: 18,7 km/s
Rektascenze radiantu: 23:00 (345,0°)
Deklinace radiantu: 43,2°
MeteorickĂ˝ roj: sporadickĂ˝
Elementy dráhy meteoroidu:
Vzdálenost v periheliu: 0,950 AU
Excentricita: 0,811
Sklon dráhy: 15,5°
Délka vzestupného uzlu: 236,3°
Argument perihelia: 204,0°
Střední anomálie: 358,5°
Epocha: 2021 NOV 18 17:16:38
orbit plot

NeinteraktivnĂ­ graf | InteraktivnĂ­ graf

position vs time
speed and acceleration