🇳🇴 🇬🇧 🇩🇪 🇨🇿 🇫🇮

Meteor Storsteinnesin yllä 2021-11-18 21:15:41 UTC

KML-tiedosto  |  Interaktiivinen kartta

Kartta näyttää meteorin suuntahavainnot. Vaaleammat viivat näyttävät suunnat havaintoasemilta meteorin ilmestyessä, ja tummemmat viivat näyttävät, missä se viimeksi nähtiin. Sininen nuoli näyttää meteorin näkyvän lennon.

static map
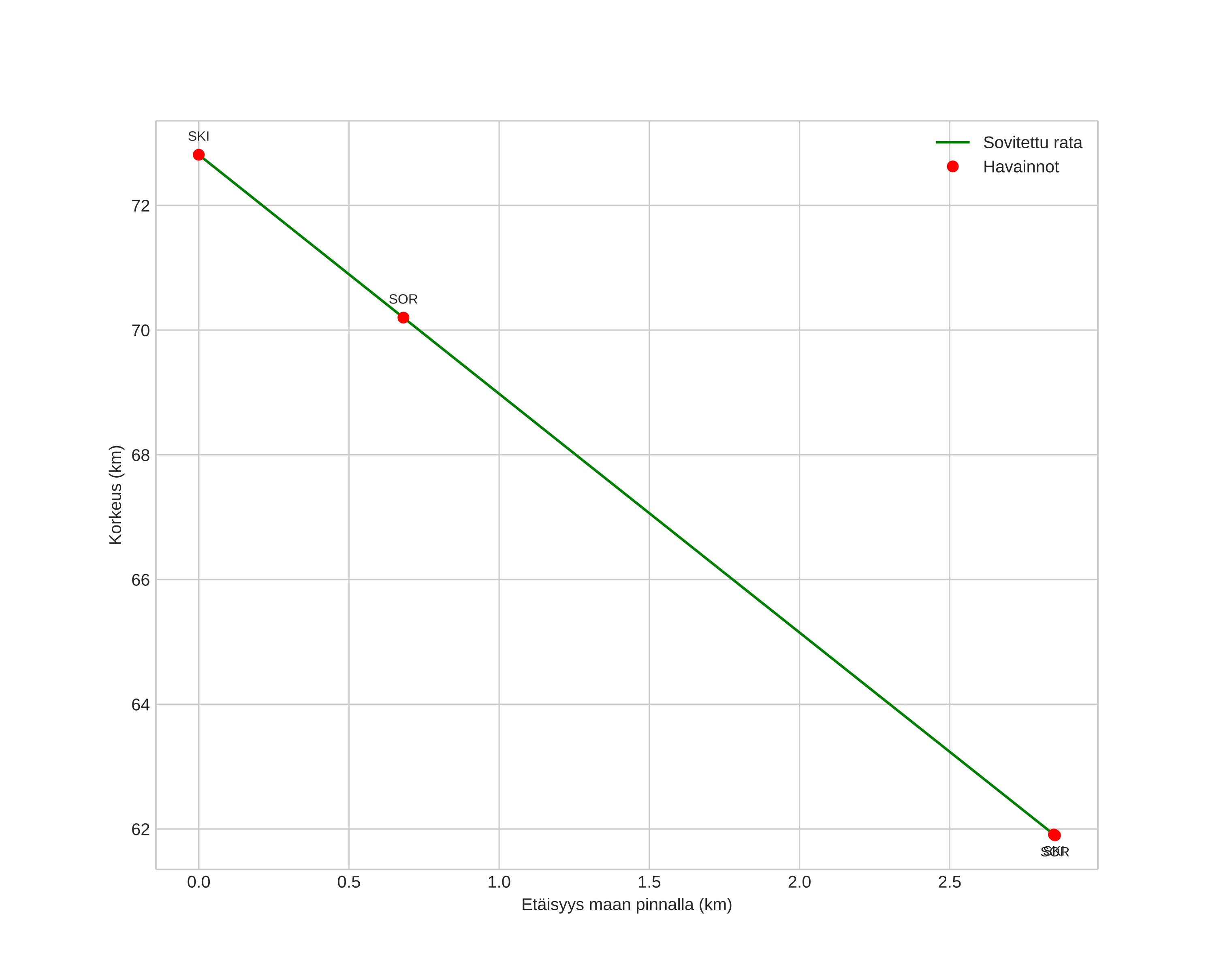
height profile
Meteorin ilmakehärata:
Alkukorkeus: 89,2 km
Loppukorkeus: 61,4 km
Alkupiste: 69,223N 19,177E
Loppupiste: 69,285N 19,222E
Suunta: 14,2°
Kallistuskulma: 75,6°
Tulonopeus: 18,7 km/s
Radiantin R,A,: 01:53 (28,3°)
Radiantin Dekl,: 53,2°
Meteoriparvi: Sporadinen
Meteoroidin rataelementit:
Perihelietäisyys: 0,811 AU
Eksentrisyys: 0,501
Inklinaatio: 16,3°
Nousevan solmun pituus: 236,4°
Perihelin argumentti: 242,5°
Keskianomalia: 339,3°
Epookki: 2021 NOV 18 21:15:41
orbit plot

Ei-interaktiivinen kuvaaja | Interaktiivinen kuvaaja

position vs time
speed and acceleration