🇳🇴 🇬🇧 🇩🇪 🇨🇿 🇫🇮

Meteor, poloha: Voss 2021-11-19 22:00:15 UTC

Soubor KML  |  InteraktivnĂ­ mapa

Mapa zobrazuje dráhy meteoru. Světlejší čáry ukazují směry od pozorovacích stanic při objevení se meteoru a tmavší čáry, kde byl naposledy viděn. Modrá šipka značí viditelnou dráhu meteoru.

static map
height profile
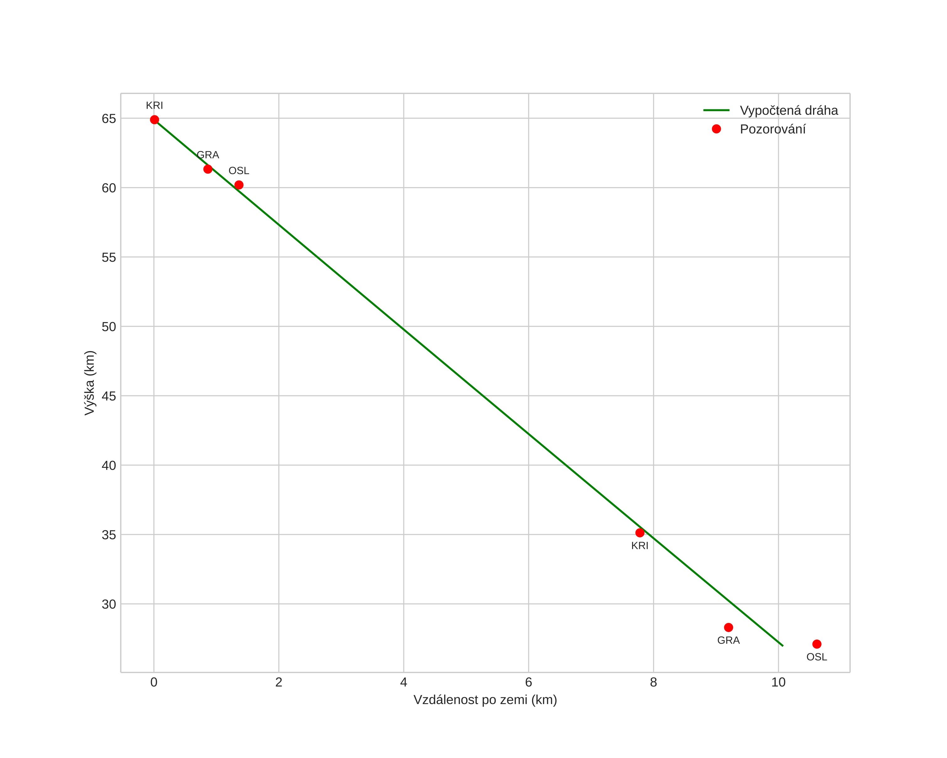
Atmosférická dráha meteoru:
Počáteční výška: 64,9 km
Konečná výška: 27,3 km
Počáteční poloha: 60,802N 6,122E
Konečná poloha: 60,877N 6,225E
Směr: 33,8°
Sklon: 75,1°
VstupnĂ­ rychlost: 14,2 km/s
Rektascenze radiantu: 01:16 (19,2°)
Deklinace radiantu: 43,9°
MeteorickĂ˝ roj: sporadickĂ˝
Elementy dráhy meteoroidu:
Vzdálenost v periheliu: 0,897 AU
Excentricita: 0,353
Sklon dráhy: 8,3°
Délka vzestupného uzlu: 237,5°
Argument perihelia: 229,7°
Střední anomálie: 336,3°
Epocha: 2021 NOV 19 22:00:15
orbit plot

NeinteraktivnĂ­ graf | InteraktivnĂ­ graf

position vs time
speed and acceleration