🇳🇴 🇬🇧 🇩🇪 🇨🇿 🇫🇮

Meteor, poloha: Ă…lgĂĄrd 2021-11-19 23:12:07 UTC

Soubor KML  |  InteraktivnĂ­ mapa

Mapa zobrazuje dráhy meteoru. Světlejší čáry ukazují směry od pozorovacích stanic při objevení se meteoru a tmavší čáry, kde byl naposledy viděn. Modrá šipka značí viditelnou dráhu meteoru.

static map
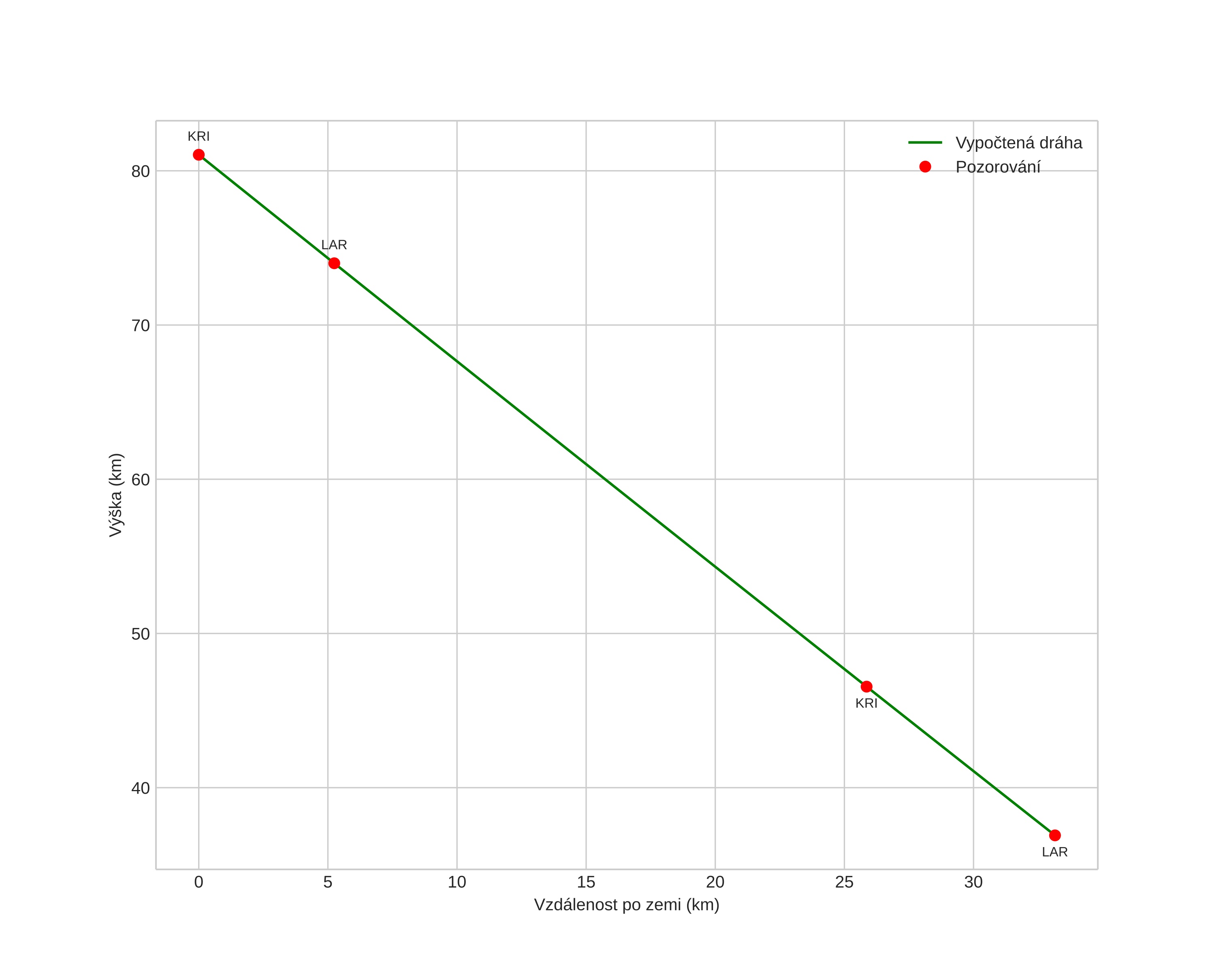
height profile
Atmosférická dráha meteoru:
Počáteční výška: 85,1 km
Konečná výška: 37,2 km
Počáteční poloha: 58,469N 6,208E
Konečná poloha: 58,761N 5,922E
Směr: 333,0°
Sklon: 52,8°
VstupnĂ­ rychlost: 29,4 km/s
Rektascenze radiantu: 04:41 (70,3°)
Deklinace radiantu: 21,8°
MeteorickĂ˝ roj: SevernĂ­ Tauridy
Elementy dráhy meteoroidu:
Vzdálenost v periheliu: 0,338 AU
Excentricita: 0,796
Sklon dráhy: 0,4°
Délka vzestupného uzlu: 57,9°
Argument perihelia: 118,7°
Střední anomálie: 339,8°
Epocha: 2021 NOV 19 23:12:07
orbit plot

NeinteraktivnĂ­ graf | InteraktivnĂ­ graf

position vs time
speed and acceleration