🇳🇴 🇬🇧 🇩🇪 🇨🇿 🇫🇮

Meteor, poloha: Løgstrup 2021-11-21 16:54:05 UTC

Soubor KML  |  InteraktivnĂ­ mapa

Mapa zobrazuje dráhy meteoru. Světlejší čáry ukazují směry od pozorovacích stanic při objevení se meteoru a tmavší čáry, kde byl naposledy viděn. Modrá šipka značí viditelnou dráhu meteoru.

static map
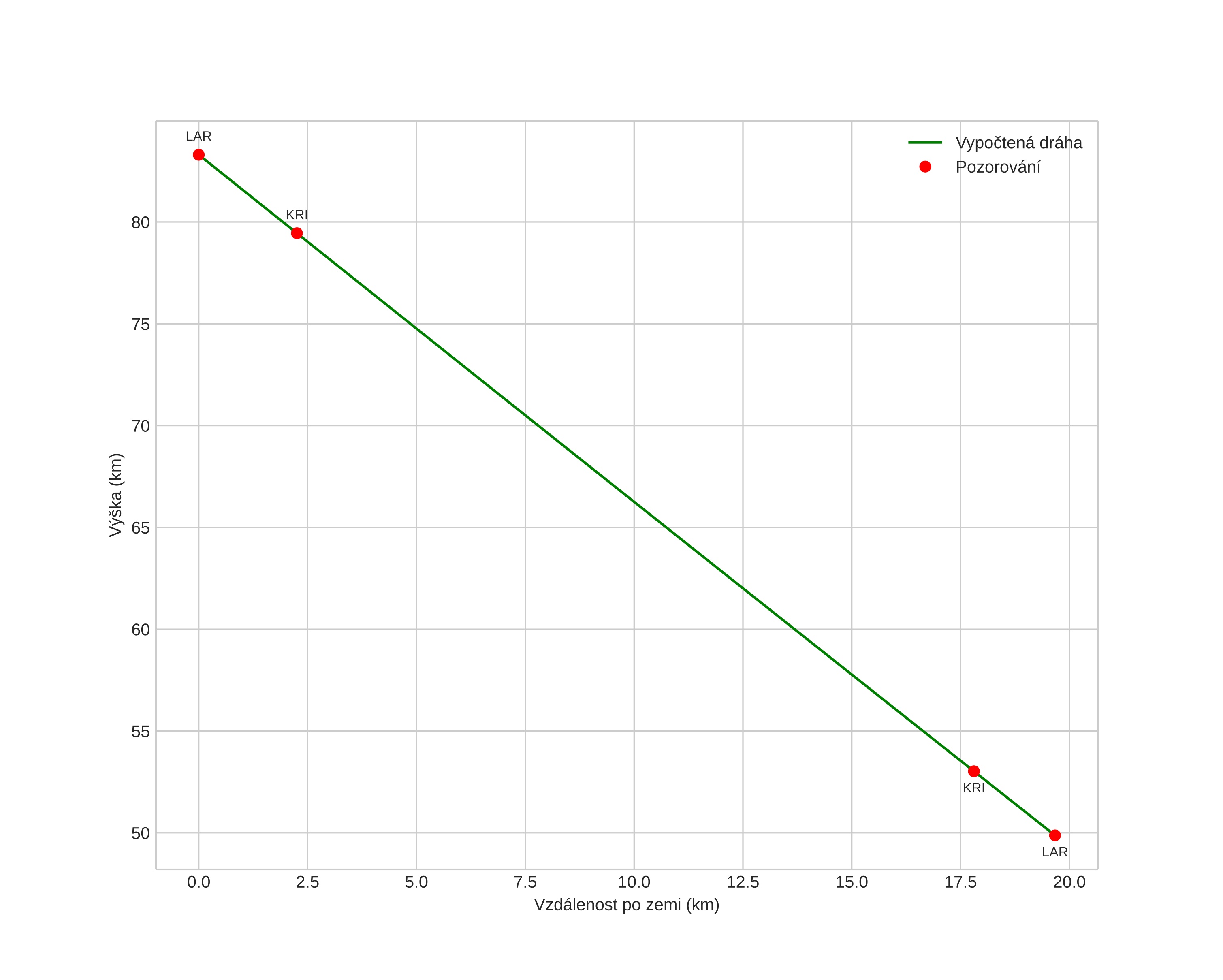
height profile
Atmosférická dráha meteoru:
Počáteční výška: 94,3 km
Konečná výška: 49,1 km
Počáteční poloha: 56,788N 9,024E
Konečná poloha: 56,592N 9,262E
Směr: 146,2°
Sklon: 59,9°
VstupnĂ­ rychlost: 30,5 km/s
Rektascenze radiantu: 16:55 (254,0°)
Deklinace radiantu: 71,6°
MeteorickĂ˝ roj: sporadickĂ˝
Elementy dráhy meteoroidu:
Vzdálenost v periheliu: 0,986 AU
Excentricita: 0,676
Sklon dráhy: 46,8°
Délka vzestupného uzlu: 239,3°
Argument perihelia: 185,5°
Střední anomálie: 359,2°
Epocha: 2021 NOV 21 16:54:05
orbit plot

NeinteraktivnĂ­ graf | InteraktivnĂ­ graf

position vs time
speed and acceleration