🇳🇴 🇬🇧 🇩🇪 🇨🇿 🇫🇮

Meteor, poloha: Aurlandsvangen 2021-11-22 17:58:07 UTC

Soubor KML  |  InteraktivnĂ­ mapa

Mapa zobrazuje dráhy meteoru. Světlejší čáry ukazují směry od pozorovacích stanic při objevení se meteoru a tmavší čáry, kde byl naposledy viděn. Modrá šipka značí viditelnou dráhu meteoru.

static map
height profile
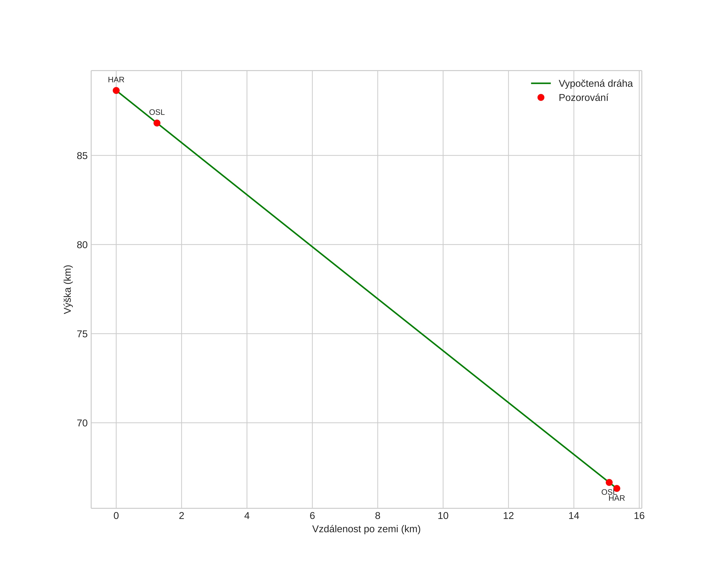
Atmosférická dráha meteoru:
Počáteční výška: 91,5 km
Konečná výška: 71,2 km
Počáteční poloha: 60,751N 7,290E
Konečná poloha: 60,894N 7,314E
Směr: 4,7°
Sklon: 51,7°
VstupnĂ­ rychlost: 13,9 km/s
Rektascenze radiantu: 22:14 (333,7°)
Deklinace radiantu: 12,5°
MeteorickĂ˝ roj: sporadickĂ˝
Elementy dráhy meteoroidu:
Vzdálenost v periheliu: 0,985 AU
Excentricita: 0,606
Sklon dráhy: 4,7°
Délka vzestupného uzlu: 240,3°
Argument perihelia: 186,8°
Střední anomálie: 358,7°
Epocha: 2021 NOV 22 17:58:07
orbit plot

NeinteraktivnĂ­ graf | InteraktivnĂ­ graf

position vs time
speed and acceleration