🇳🇴 🇬🇧 🇩🇪 🇨🇿 🇫🇮

Meteor, poloha: Tromsø 2021-11-24 03:29:30 UTC

Soubor KML  |  InteraktivnĂ­ mapa

Mapa zobrazuje dráhy meteoru. Světlejší čáry ukazují směry od pozorovacích stanic při objevení se meteoru a tmavší čáry, kde byl naposledy viděn. Modrá šipka značí viditelnou dráhu meteoru.

static map
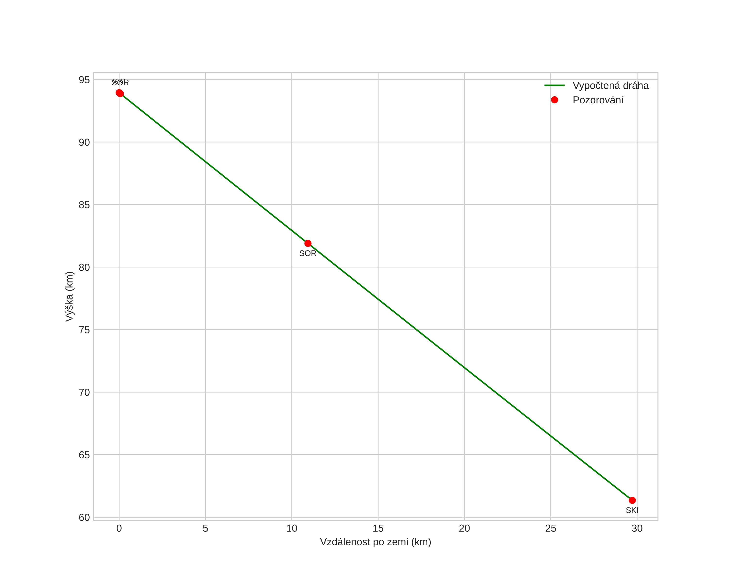
height profile
Atmosférická dráha meteoru:
Počáteční výška: 94,2 km
Konečná výška: 76,6 km
Počáteční poloha: 69,706N 19,097E
Konečná poloha: 69,564N 19,156E
Směr: 171,8°
Sklon: 47,8°
VstupnĂ­ rychlost: 23,6 km/s
Rektascenze radiantu: 21:57 (329,4°)
Deklinace radiantu: 64,8°
MeteorickĂ˝ roj: sporadickĂ˝
Elementy dráhy meteoroidu:
Vzdálenost v periheliu: 0,957 AU
Excentricita: 0,848
Sklon dráhy: 28,4°
Délka vzestupného uzlu: 241,8°
Argument perihelia: 201,2°
Střední anomálie: 359,1°
Epocha: 2021 NOV 24 03:29:30
orbit plot

NeinteraktivnĂ­ graf | InteraktivnĂ­ graf

position vs time
speed and acceleration