🇳🇴 🇬🇧 🇩🇪 🇨🇿 🇫🇮

Meteor, poloha: Notodden 2021-11-25 03:16:28 UTC

Soubor KML  |  InteraktivnĂ­ mapa

Mapa zobrazuje dráhy meteoru. Světlejší čáry ukazují směry od pozorovacích stanic při objevení se meteoru a tmavší čáry, kde byl naposledy viděn. Modrá šipka značí viditelnou dráhu meteoru.

static map
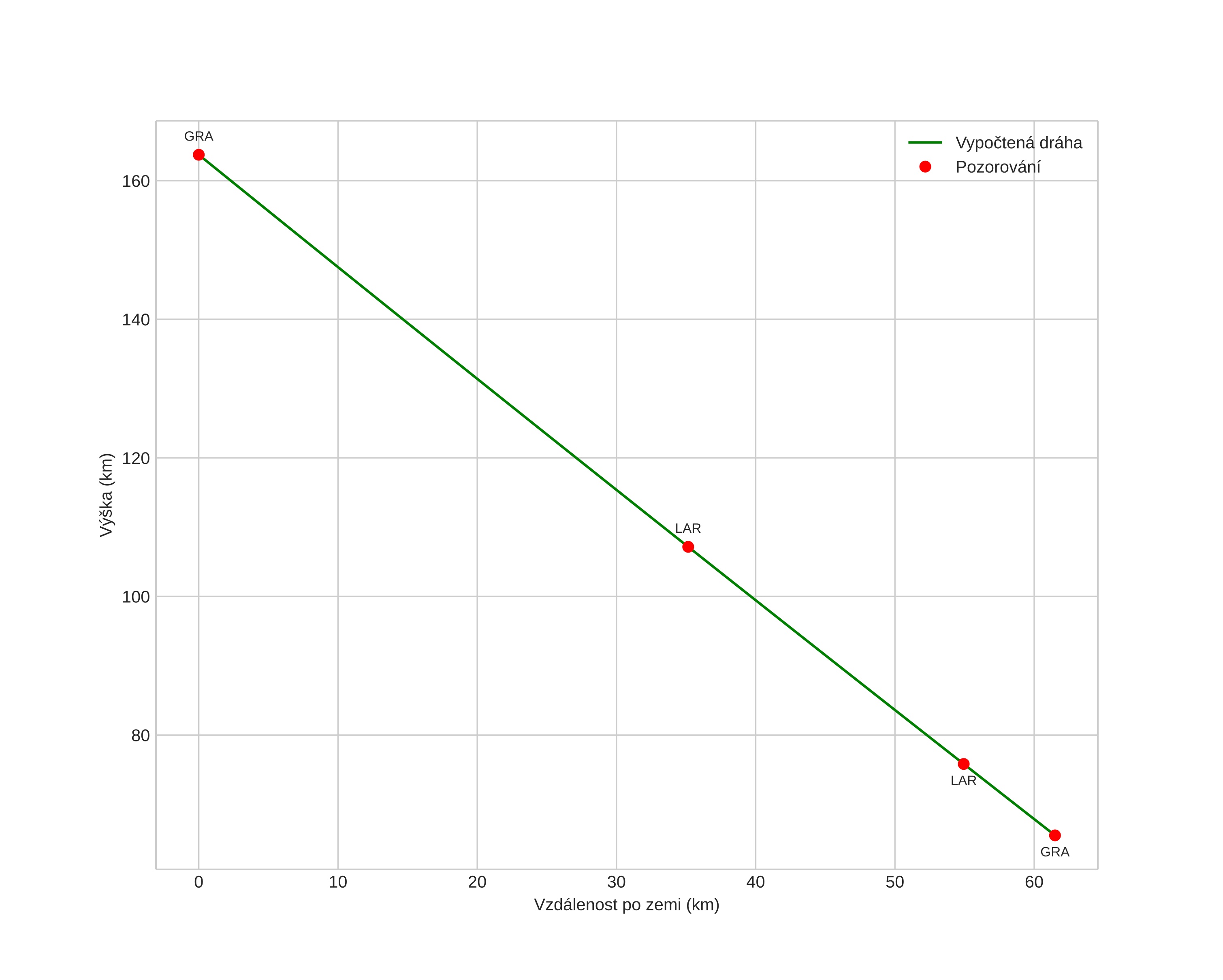
height profile
Atmosférická dráha meteoru:
Počáteční výška: 109,7 km
Konečná výška: 66,2 km
Počáteční poloha: 59,904N 9,053E
Konečná poloha: 59,662N 9,154E
Směr: 168,2°
Sklon: 57,6°
VstupnĂ­ rychlost: 42,8 km/s
Rektascenze radiantu: 00:55 (13,9°)
Deklinace radiantu: 82,8°
MeteorickĂ˝ roj: sporadickĂ˝
Elementy dráhy meteoroidu:
Vzdálenost v periheliu: 0,878 AU
Excentricita: 1,616
Sklon dráhy: 54,3°
Délka vzestupného uzlu: 242,8°
Argument perihelia: 214,8°
Střední anomálie: -11,3°
Epocha: 2021 NOV 25 03:16:28
orbit plot

NeinteraktivnĂ­ graf | InteraktivnĂ­ graf

position vs time
speed and acceleration