🇳🇴 🇬🇧 🇩🇪 🇨🇿 🇫🇮

Meteor Lyngseidetin yllä 2021-11-25 05:18:05 UTC

KML-tiedosto  |  Interaktiivinen kartta

Kartta näyttää meteorin suuntahavainnot. Vaaleammat viivat näyttävät suunnat havaintoasemilta meteorin ilmestyessä, ja tummemmat viivat näyttävät, missä se viimeksi nähtiin. Sininen nuoli näyttää meteorin näkyvän lennon.

static map
height profile
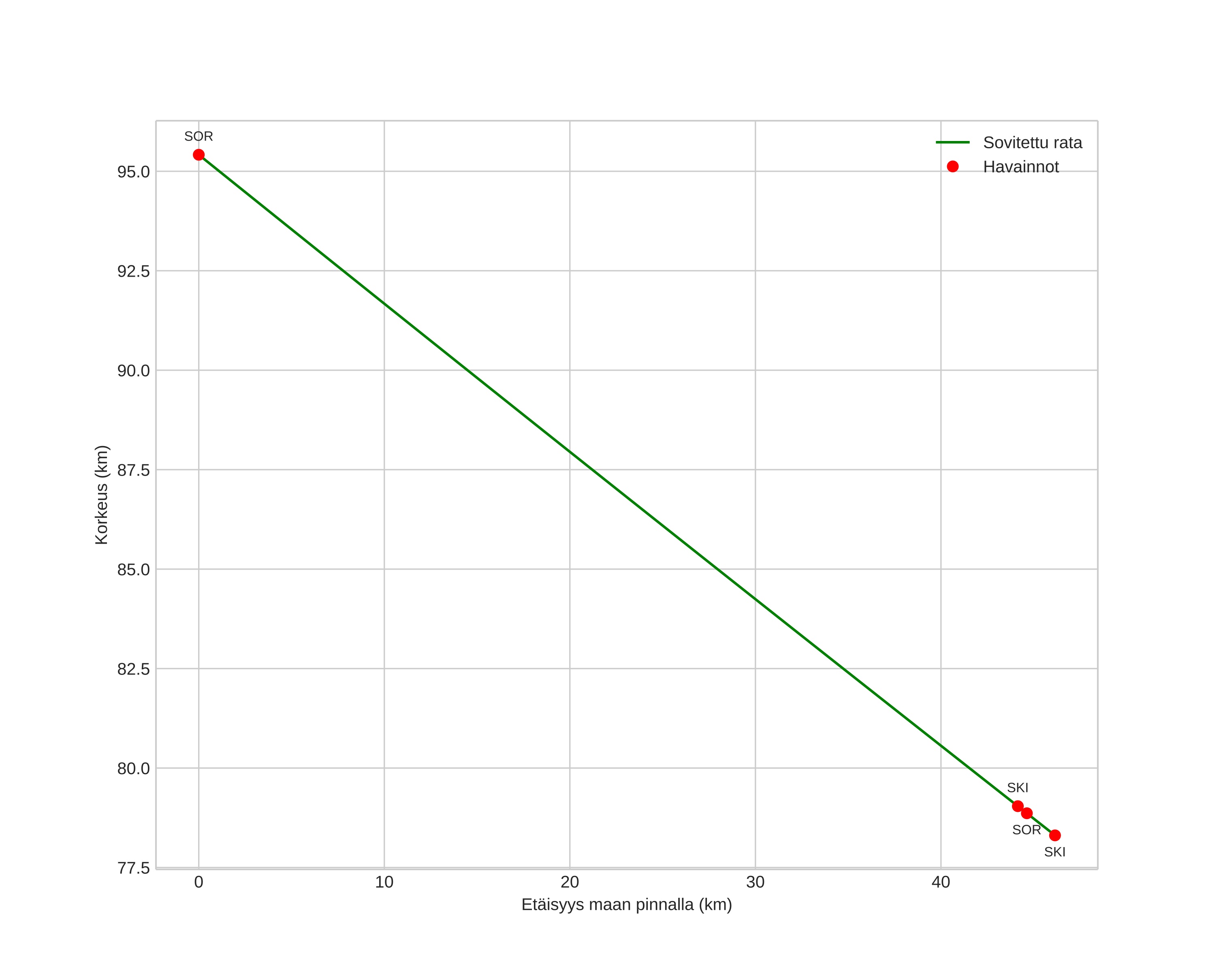
Meteorin ilmakehärata:
Alkukorkeus: 73,6 km
Loppukorkeus: 73,1 km
Alkupiste: 69,555N 18,602E
Loppupiste: 69,592N 20,084E
Suunta: 85,1°
Kallistuskulma: 0,5°
Tulonopeus: 27,7 km/s
Radiantin R,A,: 05:00 (75,1°)
Radiantin Dekl,: -5,8°
Meteoriparvi: Sporadinen
Meteoroidin rataelementit:
Perihelietäisyys: 0,530 AU
Eksentrisyys: 0,724
Inklinaatio: 25,0°
Nousevan solmun pituus: 62,9°
Perihelin argumentti: 95,9°
Keskianomalia: 342,9°
Epookki: 2021 NOV 25 05:18:05
orbit plot

Ei-interaktiivinen kuvaaja | Interaktiivinen kuvaaja

position vs time
speed and acceleration