🇳🇴 🇬🇧 🇩🇪 🇨🇿 🇫🇮

Meteor, poloha: Burfjord 2021-11-26 22:26:06 UTC

Soubor KML  |  InteraktivnĂ­ mapa

Mapa zobrazuje dráhy meteoru. Světlejší čáry ukazují směry od pozorovacích stanic při objevení se meteoru a tmavší čáry, kde byl naposledy viděn. Modrá šipka značí viditelnou dráhu meteoru.

static map
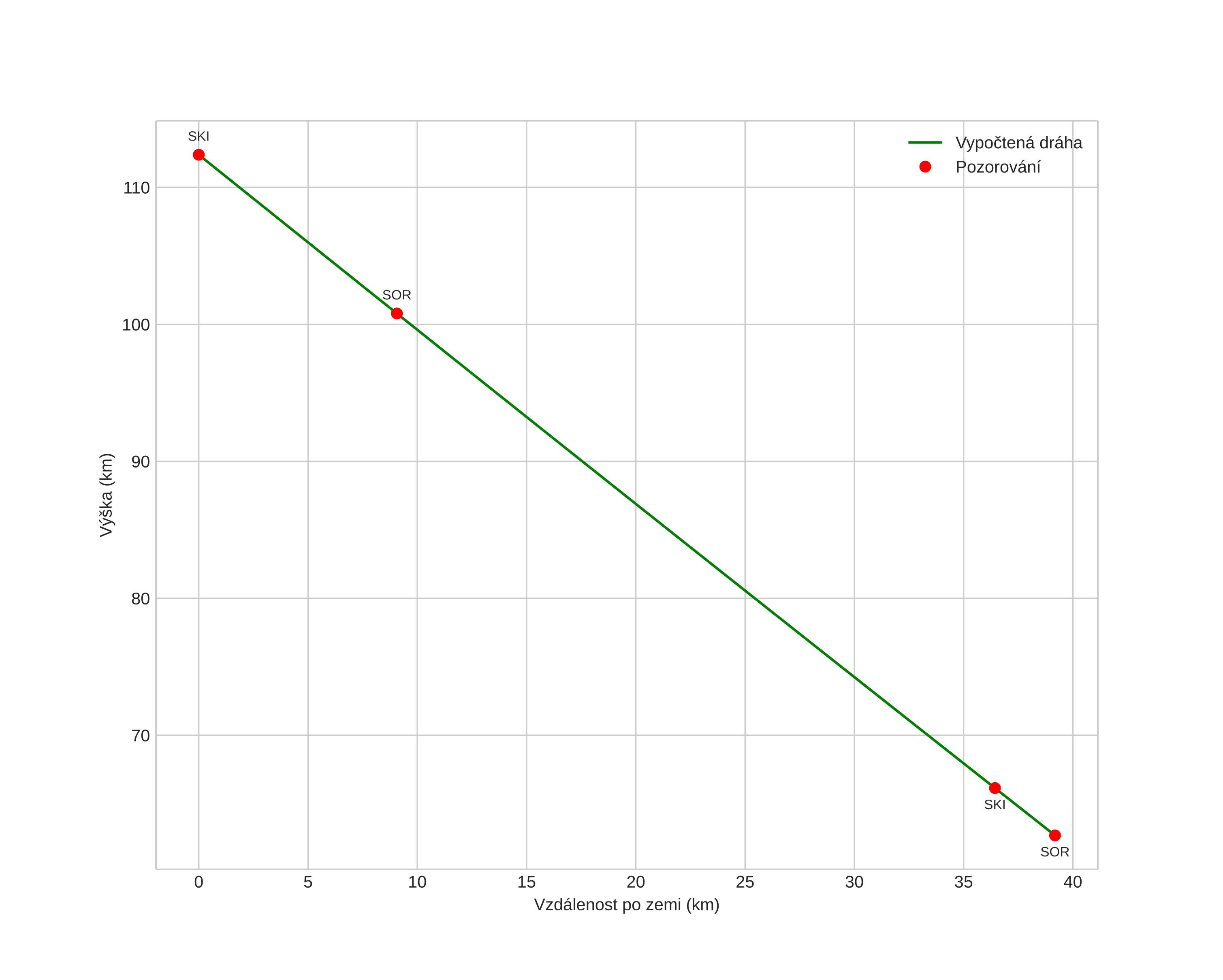
height profile
Atmosférická dráha meteoru:
Počáteční výška: 115,9 km
Konečná výška: 62,3 km
Počáteční poloha: 69,707N 22,914E
Konečná poloha: 69,378N 22,386E
Směr: 209,5°
Sklon: 51,9°
VstupnĂ­ rychlost: 53,0 km/s
Rektascenze radiantu: 12:51 (193,0°)
Deklinace radiantu: 67,5°
MeteorickĂ˝ roj: sporadickĂ˝
Elementy dráhy meteoroidu:
Vzdálenost v periheliu: 0,975 AU
Excentricita: 1,395
Sklon dráhy: 82,2°
Délka vzestupného uzlu: 244,6°
Argument perihelia: 191,6°
Střední anomálie: -1,9°
Epocha: 2021 NOV 26 22:26:06
orbit plot

NeinteraktivnĂ­ graf | InteraktivnĂ­ graf

position vs time
speed and acceleration