🇳🇴 🇬🇧 🇩🇪 🇨🇿 🇫🇮

Meteor, poloha: Myre 2021-11-30 15:45:33 UTC

Soubor KML  |  InteraktivnĂ­ mapa

Mapa zobrazuje dráhy meteoru. Světlejší čáry ukazují směry od pozorovacích stanic při objevení se meteoru a tmavší čáry, kde byl naposledy viděn. Modrá šipka značí viditelnou dráhu meteoru.

static map
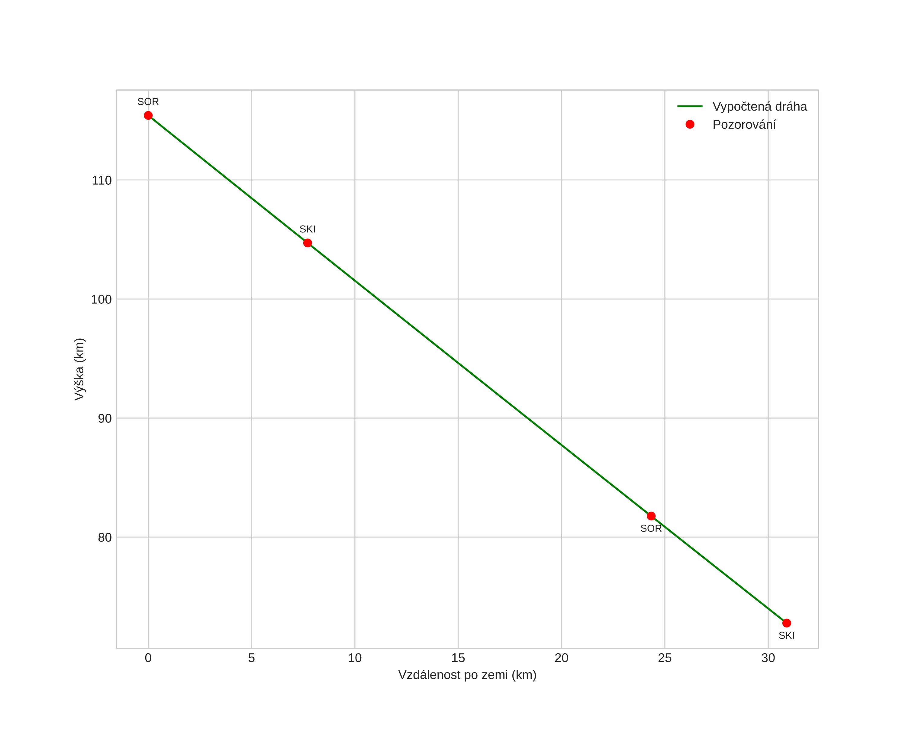
height profile
Atmosférická dráha meteoru:
Počáteční výška: 93,0 km
Konečná výška: 69,6 km
Počáteční poloha: 68,844N 14,610E
Konečná poloha: 68,891N 14,894E
Směr: 65,2°
Sklon: 61,8°
VstupnĂ­ rychlost: 22,3 km/s
Rektascenze radiantu: 18:32 (278,2°)
Deklinace radiantu: 46,5°
MeteorickĂ˝ roj: sporadickĂ˝
Elementy dráhy meteoroidu:
Vzdálenost v periheliu: 0,966 AU
Excentricita: 0,720
Sklon dráhy: 27,9°
Délka vzestupného uzlu: 248,3°
Argument perihelia: 162,1°
Střední anomálie: 2,0°
Epocha: 2021 NOV 30 15:45:33
orbit plot

NeinteraktivnĂ­ graf | InteraktivnĂ­ graf

position vs time
speed and acceleration