🇳🇴 🇬🇧 🇩🇪 🇨🇿 🇫🇮

Meteor, poloha: Narvik 2021-11-30 21:31:40 UTC

Soubor KML  |  InteraktivnĂ­ mapa

Mapa zobrazuje dráhy meteoru. Světlejší čáry ukazují směry od pozorovacích stanic při objevení se meteoru a tmavší čáry, kde byl naposledy viděn. Modrá šipka značí viditelnou dráhu meteoru.

static map
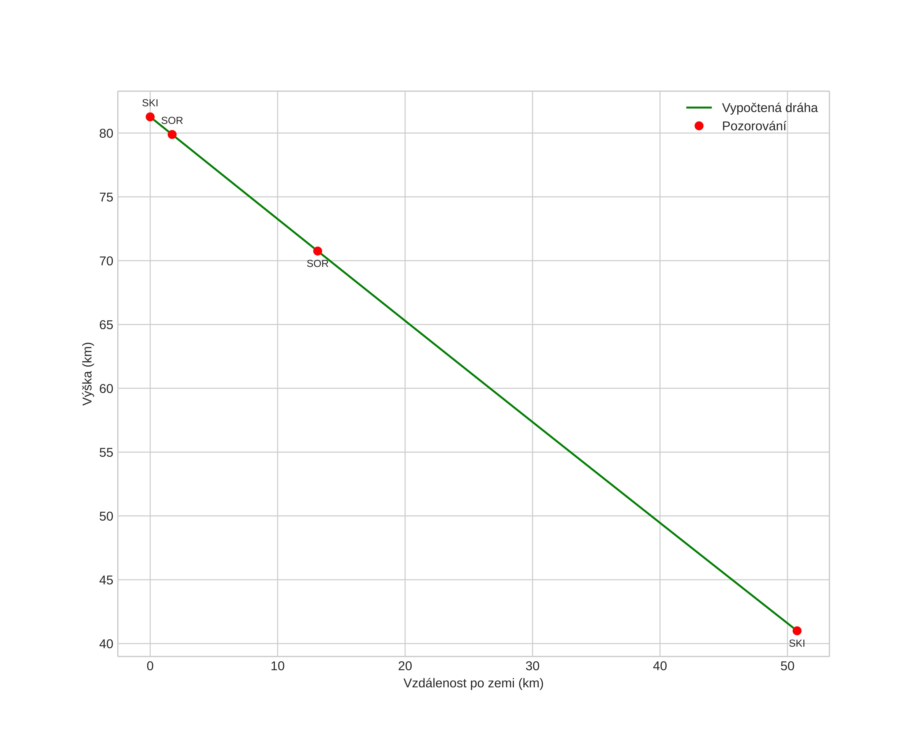
height profile
Atmosférická dráha meteoru:
Počáteční výška: 83,5 km
Konečná výška: 65,5 km
Počáteční poloha: 67,717N 17,720E
Konečná poloha: 67,874N 17,387E
Směr: 321,4°
Sklon: 38,9°
VstupnĂ­ rychlost: 28,4 km/s
Rektascenze radiantu: 05:26 (81,7°)
Deklinace radiantu: 18,3°
MeteorickĂ˝ roj: SevernĂ­ Tauridy
Elementy dráhy meteoroidu:
Vzdálenost v periheliu: 0,365 AU
Excentricita: 0,769
Sklon dráhy: 5,3°
Délka vzestupného uzlu: 68,6°
Argument perihelia: 116,6°
Střední anomálie: 337,7°
Epocha: 2021 NOV 30 21:31:40
orbit plot

NeinteraktivnĂ­ graf | InteraktivnĂ­ graf

position vs time
speed and acceleration