🇳🇴 🇬🇧 🇩🇪 🇨🇿 🇫🇮

Meteor, poloha: Utsira 2021-11-30 22:53:24 UTC

Soubor KML  |  InteraktivnĂ­ mapa

Mapa zobrazuje dráhy meteoru. Světlejší čáry ukazují směry od pozorovacích stanic při objevení se meteoru a tmavší čáry, kde byl naposledy viděn. Modrá šipka značí viditelnou dráhu meteoru.

static map
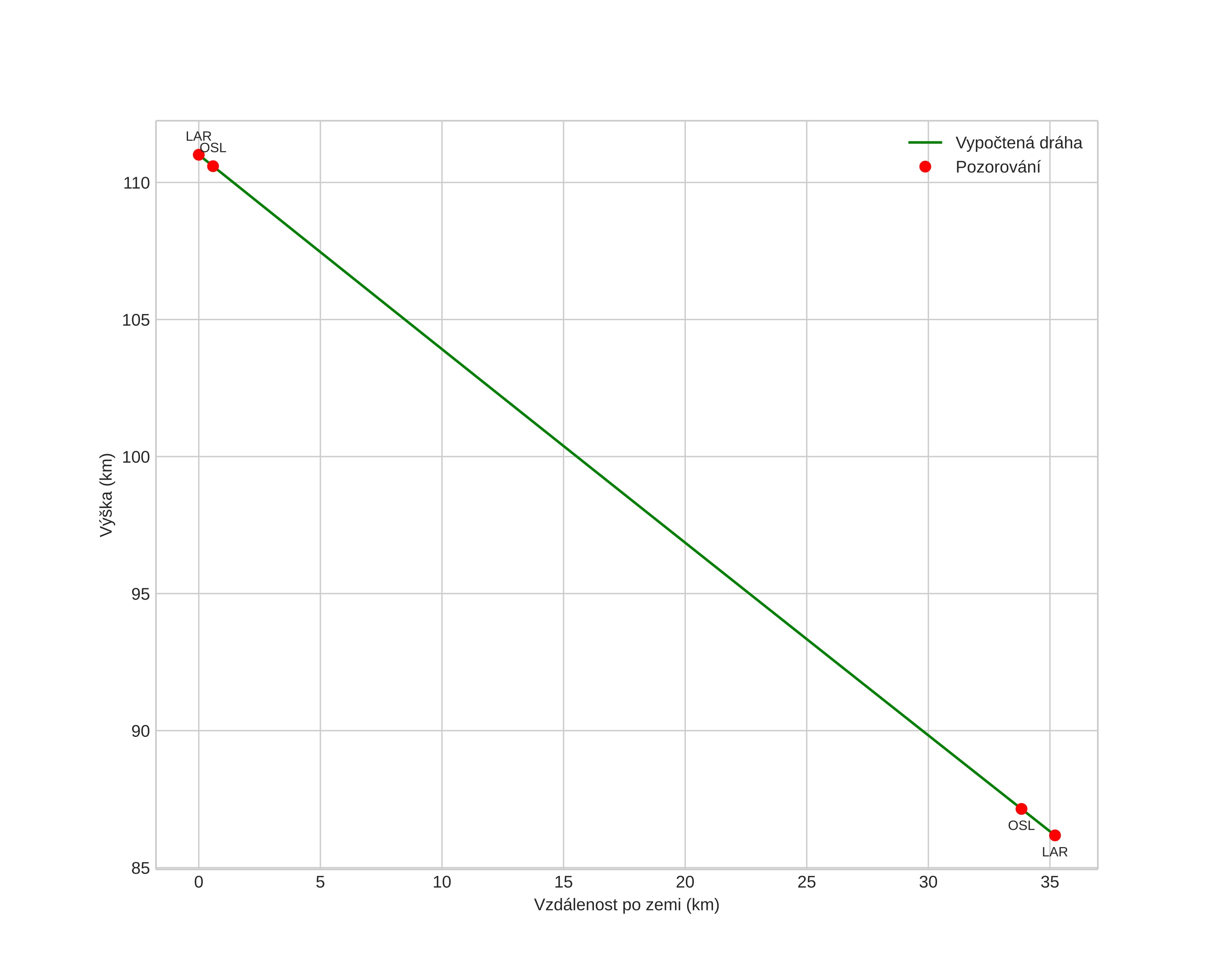
height profile
Atmosférická dráha meteoru:
Počáteční výška: 115,3 km
Konečná výška: 85,7 km
Počáteční poloha: 59,195N 5,044E
Konečná poloha: 59,423N 4,418E
Směr: 305,8°
Sklon: 34,1°
VstupnĂ­ rychlost: 66,3 km/s
Rektascenze radiantu: 06:46 (101,7°)
Deklinace radiantu: 13,2°
MeteorickĂ˝ roj: sporadickĂ˝
Elementy dráhy meteoroidu:
Vzdálenost v periheliu: 0,076 AU
Excentricita: 1,110
Sklon dráhy: 113,0°
Délka vzestupného uzlu: 68,7°
Argument perihelia: 139,1°
Střední anomálie: -42,4°
Epocha: 2021 NOV 30 22:53:24
orbit plot

NeinteraktivnĂ­ graf | InteraktivnĂ­ graf

position vs time
speed and acceleration