🇳🇴 🇬🇧 🇩🇪 🇨🇿 🇫🇮

Meteor, poloha: Kiruna 2021-12-07 00:24:35 UTC

Soubor KML  |  InteraktivnĂ­ mapa

Mapa zobrazuje dráhy meteoru. Světlejší čáry ukazují směry od pozorovacích stanic při objevení se meteoru a tmavší čáry, kde byl naposledy viděn. Modrá šipka značí viditelnou dráhu meteoru.

static map
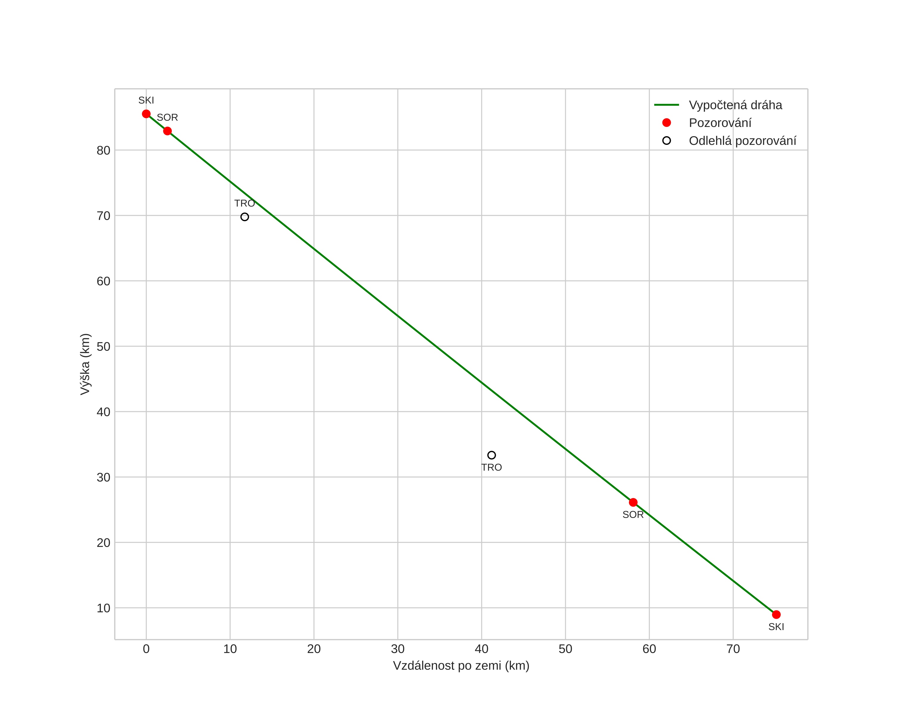
height profile
Atmosférická dráha meteoru:
Počáteční výška: 83,8 km
Konečná výška: 42,6 km
Počáteční poloha: 67,595N 19,605E
Konečná poloha: 67,861N 20,096E
Směr: 34,7°
Sklon: 48,8°
VstupnĂ­ rychlost: 17,8 km/s
Rektascenze radiantu: 04:55 (73,9°)
Deklinace radiantu: 23,9°
MeteorickĂ˝ roj: sporadickĂ˝
Elementy dráhy meteoroidu:
Vzdálenost v periheliu: 0,673 AU
Excentricita: 0,476
Sklon dráhy: 0,6°
Délka vzestupného uzlu: 254,6°
Argument perihelia: 269,3°
Střední anomálie: 323,0°
Epocha: 2021 DEC 07 00:24:35
orbit plot

NeinteraktivnĂ­ graf | InteraktivnĂ­ graf

position vs time
speed and acceleration