🇳🇴 🇬🇧 🇩🇪 🇨🇿 🇫🇮

Meteor Finnsnesin yllä 2021-12-07 18:23:24 UTC

KML-tiedosto  |  Interaktiivinen kartta

Kartta näyttää meteorin suuntahavainnot. Vaaleammat viivat näyttävät suunnat havaintoasemilta meteorin ilmestyessä, ja tummemmat viivat näyttävät, missä se viimeksi nähtiin. Sininen nuoli näyttää meteorin näkyvän lennon.

static map
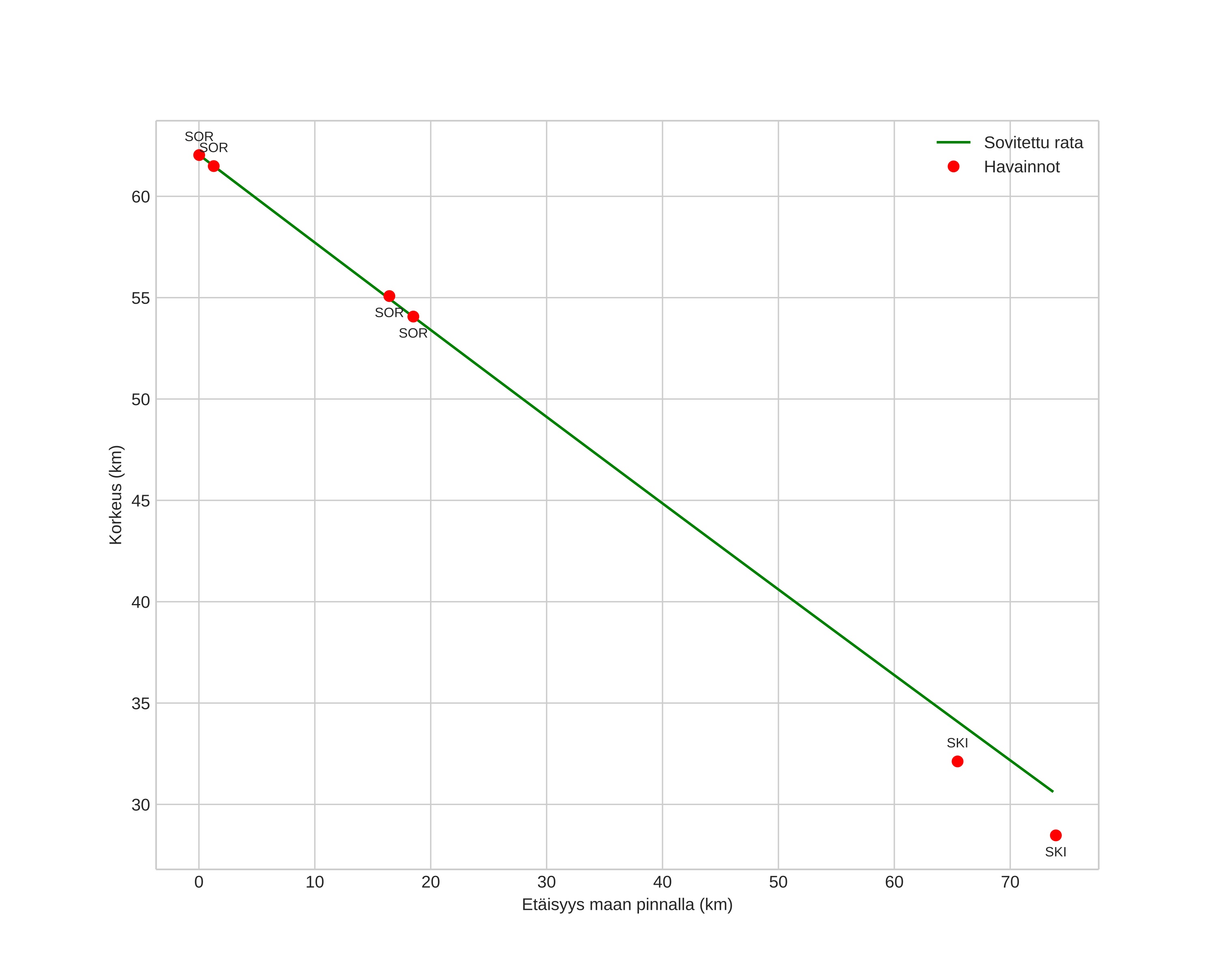
height profile
Meteorin ilmakehärata:
Alkukorkeus: 91,3 km
Loppukorkeus: 80,8 km
Alkupiste: 69,672N 17,480E
Loppupiste: 69,619N 18,165E
Suunta: 102,3°
Kallistuskulma: 21,2°
Tulonopeus: 21,1 km/s
Radiantin R,A,: 18:14 (273,5°)
Radiantin Dekl,: 18,0°
Meteoriparvi: Sporadinen
Meteoroidin rataelementit:
Perihelietäisyys: 0,859 AU
Eksentrisyys: 0,709
Inklinaatio: 19,0°
Nousevan solmun pituus: 255,6°
Perihelin argumentti: 133,8°
Keskianomalia: 6,1°
Epookki: 2021 DEC 07 18:23:24
orbit plot

Ei-interaktiivinen kuvaaja | Interaktiivinen kuvaaja

position vs time
speed and acceleration