🇳🇴 🇬🇧 🇩🇪 🇨🇿 🇫🇮

Meteor, poloha: Øksfjord 2021-12-08 13:47:31 UTC

Soubor KML  |  Interaktivní mapa

Mapa zobrazuje dráhy meteoru. Světlejší čáry ukazují směry od pozorovacích stanic při objevení se meteoru a tmavší čáry, kde byl naposledy viděn. Modrá šipka značí viditelnou dráhu meteoru.

static map
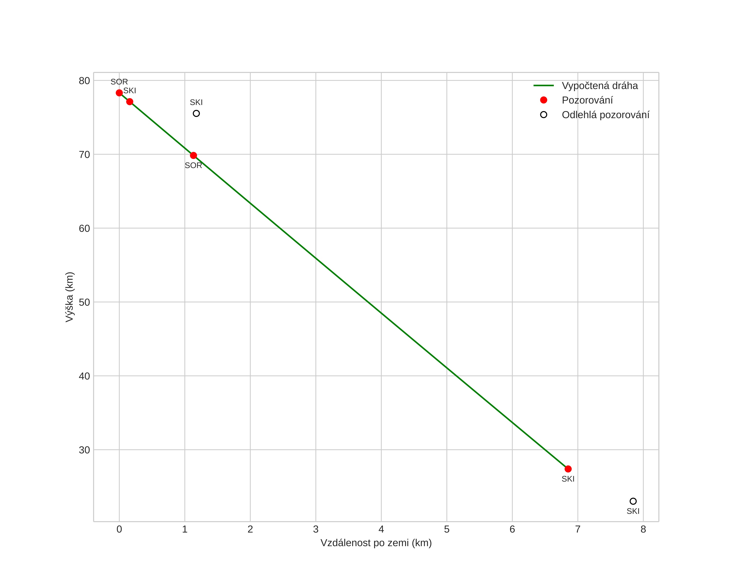
height profile
Atmosférická dráha meteoru:
Počáteční výška: 83,2 km
Konečná výška: 61,8 km
Počáteční poloha: 70,024N 22,260E
Konečná poloha: 70,058N 22,327E
Směr: 34,3°
Sklon: 78,0°
Vstupní rychlost: 21,8 km/s
Rektascenze radiantu: 19:27 (291,8°)
Deklinace radiantu: 58,3°
Meteorický roj: sporadický
Elementy dráhy meteoroidu:
Vzdálenost v periheliu: 0,984 AU
Excentricita: 0,680
Sklon dráhy: 28,1°
Délka vzestupného uzlu: 256,4°
Argument perihelia: 176,7°
Střední anomálie: 0,5°
Epocha: 2021 DEC 08 13:47:31
orbit plot

Neinteraktivní graf | Interaktivní graf

position vs time
speed and acceleration