🇳🇴 🇬🇧 🇩🇪 🇨🇿 🇫🇮

Meteor Straumen yllä 2021-12-11 19:16:03 UTC

KML-tiedosto  |  Interaktiivinen kartta

Kartta näyttää meteorin suuntahavainnot. Vaaleammat viivat näyttävät suunnat havaintoasemilta meteorin ilmestyessä, ja tummemmat viivat näyttävät, missä se viimeksi nähtiin. Sininen nuoli näyttää meteorin näkyvän lennon.

static map
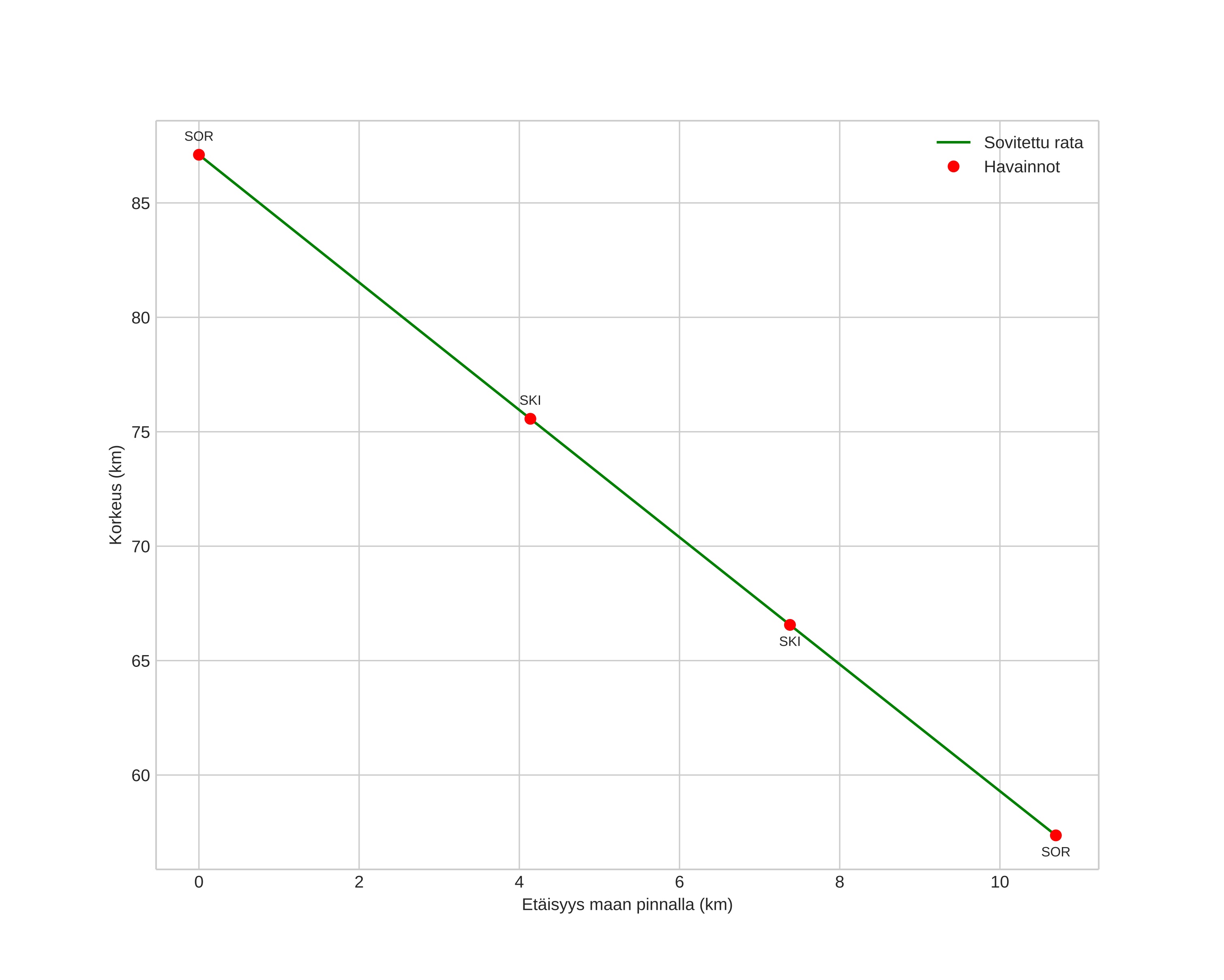
height profile
Meteorin ilmakehärata:
Alkukorkeus: 87,5 km
Loppukorkeus: 57,8 km
Alkupiste: 69,451N 14,262E
Loppupiste: 69,459N 14,457E
Suunta: 82,7°
Kallistuskulma: 75,6°
Tulonopeus: 18,4 km/s
Radiantin R,A,: 23:05 (346,3°)
Radiantin Dekl,: 62,0°
Meteoriparvi: Sporadinen
Meteoroidin rataelementit:
Perihelietäisyys: 0,964 AU
Eksentrisyys: 0,662
Inklinaatio: 19,1°
Nousevan solmun pituus: 259,7°
Perihelin argumentti: 198,8°
Keskianomalia: 357,1°
Epookki: 2021 DEC 11 19:16:03
orbit plot

Ei-interaktiivinen kuvaaja | Interaktiivinen kuvaaja

position vs time
speed and acceleration