🇳🇴 🇬🇧 🇩🇪 🇨🇿 🇫🇮

Meteor, poloha: Skjervøy 2021-12-13 22:14:51 UTC

Soubor KML  |  InteraktivnĂ­ mapa

Mapa zobrazuje dráhy meteoru. Světlejší čáry ukazují směry od pozorovacích stanic při objevení se meteoru a tmavší čáry, kde byl naposledy viděn. Modrá šipka značí viditelnou dráhu meteoru.

static map
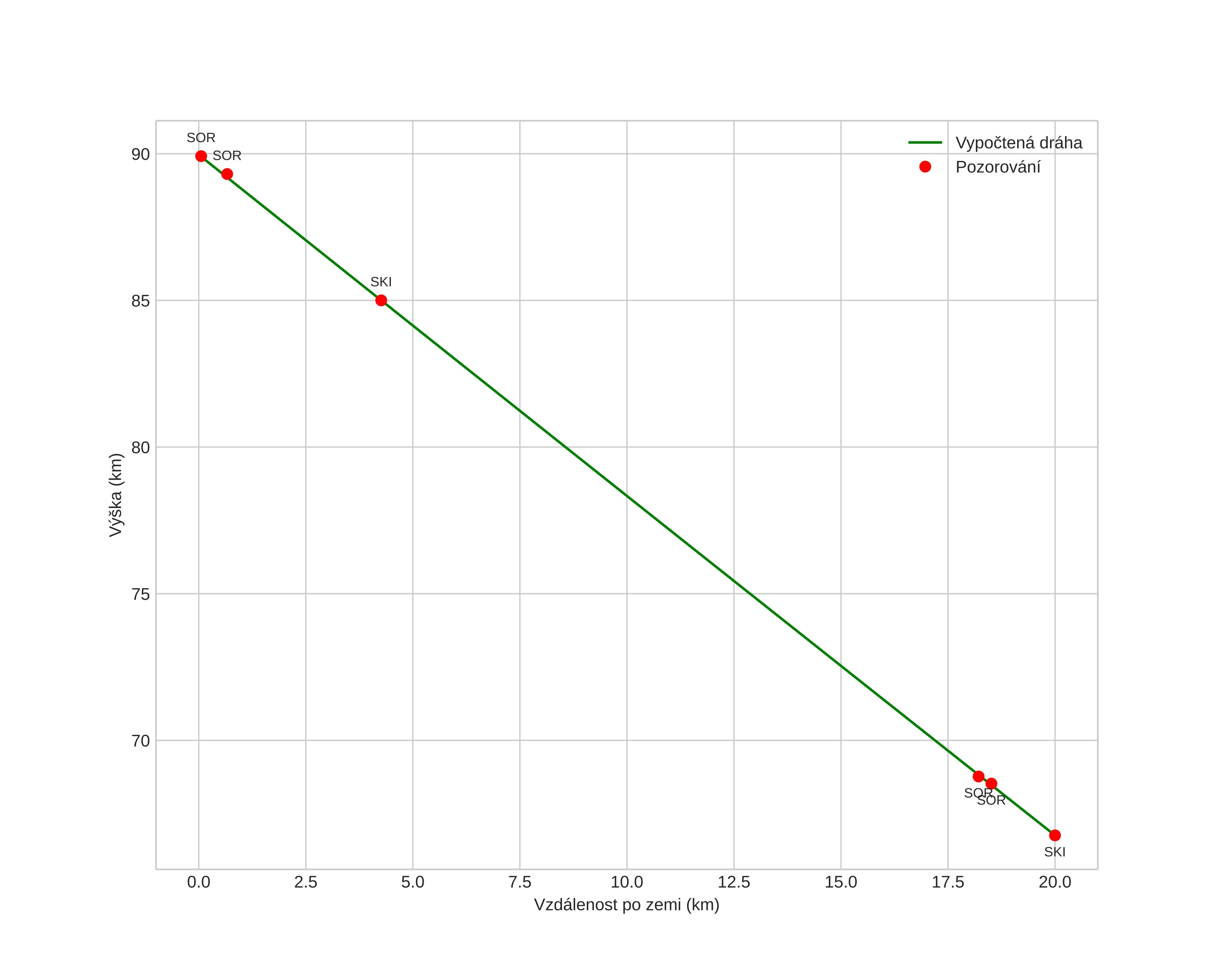
height profile
Atmosférická dráha meteoru:
Počáteční výška: 90,4 km
Konečná výška: 66,8 km
Počáteční poloha: 70,292N 21,840E
Konečná poloha: 70,408N 21,423E
Směr: 309,7°
Sklon: 49,4°
VstupnĂ­ rychlost: 35,3 km/s
Rektascenze radiantu: 07:43 (115,8°)
Deklinace radiantu: 34,2°
MeteorickĂ˝ roj: Geminidy
Elementy dráhy meteoroidu:
Vzdálenost v periheliu: 0,145 AU
Excentricita: 0,879
Sklon dráhy: 27,6°
Délka vzestupného uzlu: 261,8°
Argument perihelia: 325,3°
Střední anomálie: 331,1°
Epocha: 2021 DEC 13 22:14:51
orbit plot

NeinteraktivnĂ­ graf | InteraktivnĂ­ graf

position vs time
speed and acceleration