🇳🇴 🇬🇧 🇩🇪 🇨🇿 🇫🇮

Meteor, poloha: Tingvatn 2021-12-14 01:34:20 UTC

Soubor KML  |  InteraktivnĂ­ mapa

Mapa zobrazuje dráhy meteoru. Světlejší čáry ukazují směry od pozorovacích stanic při objevení se meteoru a tmavší čáry, kde byl naposledy viděn. Modrá šipka značí viditelnou dráhu meteoru.

static map
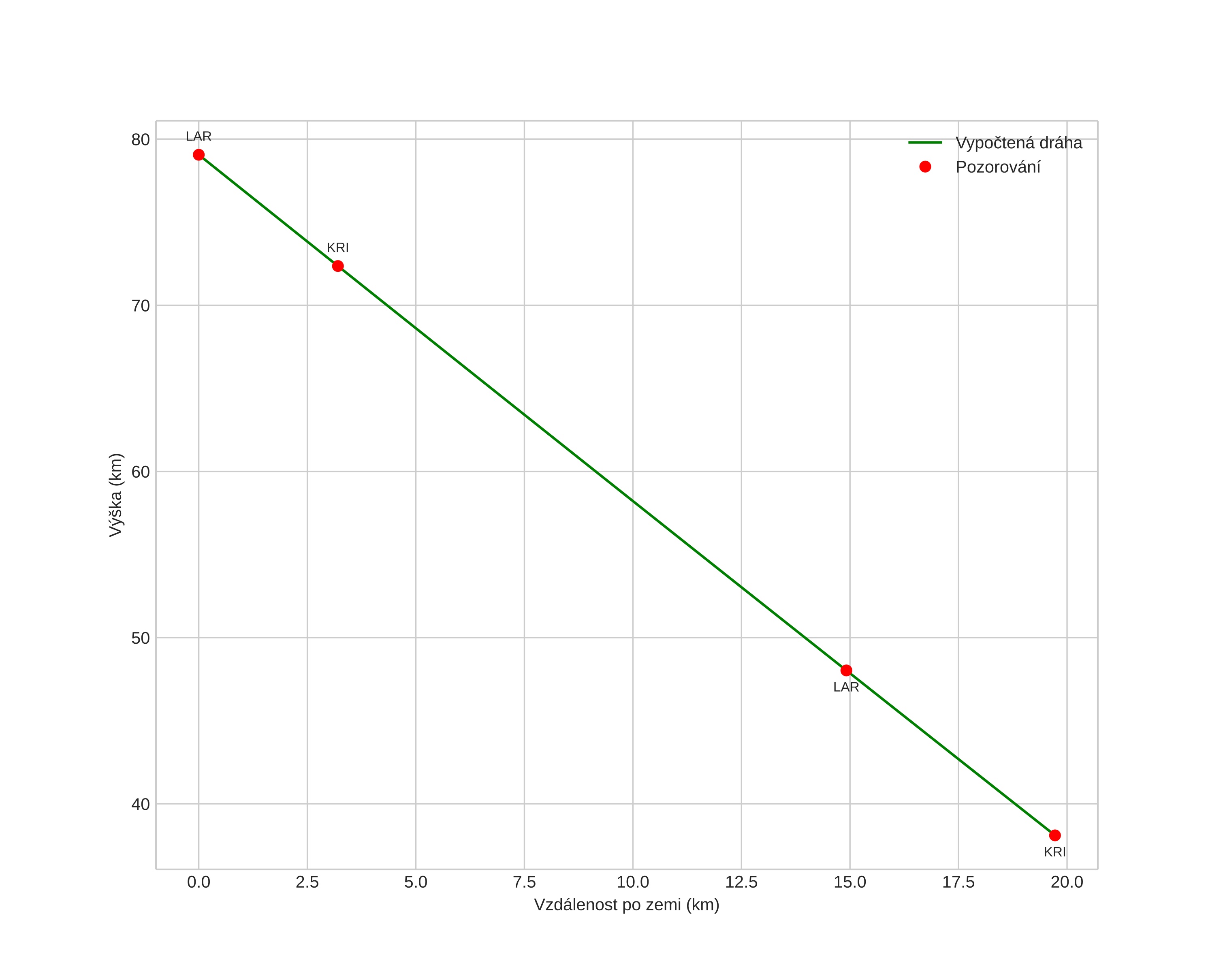
height profile
Atmosférická dráha meteoru:
Počáteční výška: 79,1 km
Konečná výška: 38,5 km
Počáteční poloha: 58,348N 7,130E
Konečná poloha: 58,522N 7,120E
Směr: 358,1°
Sklon: 64,5°
VstupnĂ­ rychlost: 40,3 km/s
Rektascenze radiantu: 07:35 (113,8°)
Deklinace radiantu: 32,2°
MeteorickĂ˝ roj: Geminidy
Elementy dráhy meteoroidu:
Vzdálenost v periheliu: 0,111 AU
Excentricita: 0,941
Sklon dráhy: 30,0°
Délka vzestupného uzlu: 262,0°
Argument perihelia: 326,0°
Střední anomálie: 347,0°
Epocha: 2021 DEC 14 01:34:20
orbit plot

NeinteraktivnĂ­ graf | InteraktivnĂ­ graf

position vs time
speed and acceleration