🇳🇴 🇬🇧 🇩🇪 🇨🇿 🇫🇮

Meteor, poloha: Oppdal 2021-12-14 03:23:34 UTC

Soubor KML  |  InteraktivnĂ­ mapa

Mapa zobrazuje dráhy meteoru. Světlejší čáry ukazují směry od pozorovacích stanic při objevení se meteoru a tmavší čáry, kde byl naposledy viděn. Modrá šipka značí viditelnou dráhu meteoru.

static map
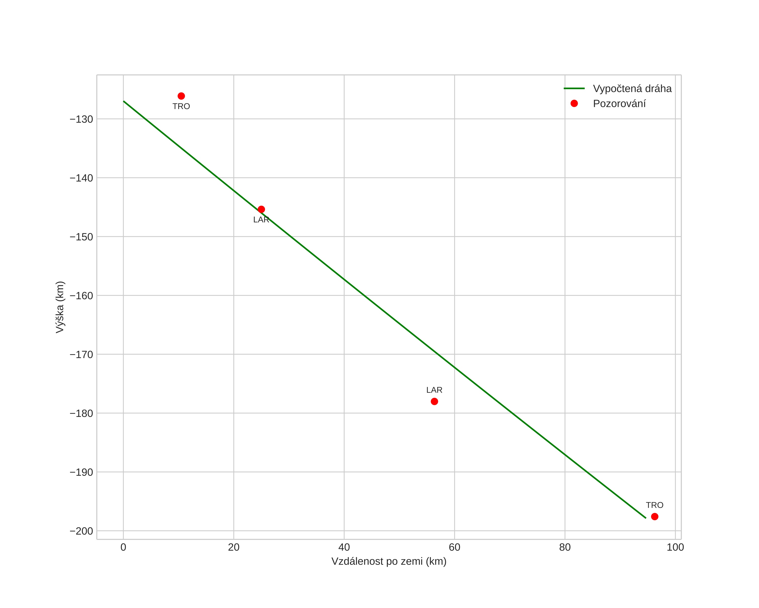
height profile
Atmosférická dráha meteoru:
Počáteční výška: -126,3 km
Konečná výška: -197,1 km
Počáteční poloha: 61,986N 8,801E
Konečná poloha: 62,745N 9,534E
Směr: 23,8°
Sklon: 37,4°
orbit plot
position vs time
speed and acceleration