🇳🇴 🇬🇧 🇩🇪 🇨🇿 🇫🇮

Meteor, poloha: Skui 2021-12-14 03:42:03 UTC

Soubor KML  |  InteraktivnĂ­ mapa

Mapa zobrazuje dráhy meteoru. Světlejší čáry ukazují směry od pozorovacích stanic při objevení se meteoru a tmavší čáry, kde byl naposledy viděn. Modrá šipka značí viditelnou dráhu meteoru.

static map
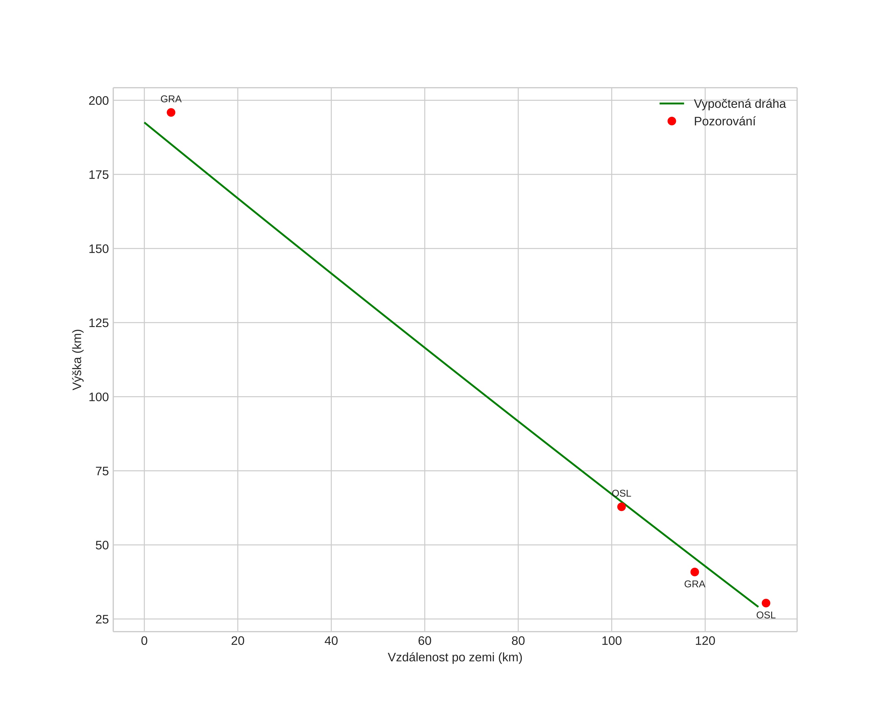
height profile
Atmosférická dráha meteoru:
Počáteční výška: 112,0 km
Konečná výška: 49,1 km
Počáteční poloha: 59,717N 9,778E
Konečná poloha: 59,951N 10,416E
Směr: 53,6°
Sklon: 54,9°
VstupnĂ­ rychlost: 51,7 km/s
Rektascenze radiantu: 07:37 (114,3°)
Deklinace radiantu: 31,8°
MeteorickĂ˝ roj: sporadickĂ˝
Elementy dráhy meteoroidu:
Vzdálenost v periheliu: 0,064 AU
Excentricita: 1,017
Sklon dráhy: 54,7°
Délka vzestupného uzlu: 262,1°
Argument perihelia: 328,6°
Střední anomálie: -3,9°
Epocha: 2021 DEC 14 03:42:03
orbit plot

NeinteraktivnĂ­ graf | InteraktivnĂ­ graf

position vs time
speed and acceleration