🇳🇴 🇬🇧 🇩🇪 🇨🇿 🇫🇮

Meteor, poloha: Odensbacken 2021-12-14 04:31:28 UTC

Soubor KML  |  InteraktivnĂ­ mapa

Mapa zobrazuje dráhy meteoru. Světlejší čáry ukazují směry od pozorovacích stanic při objevení se meteoru a tmavší čáry, kde byl naposledy viděn. Modrá šipka značí viditelnou dráhu meteoru.

static map
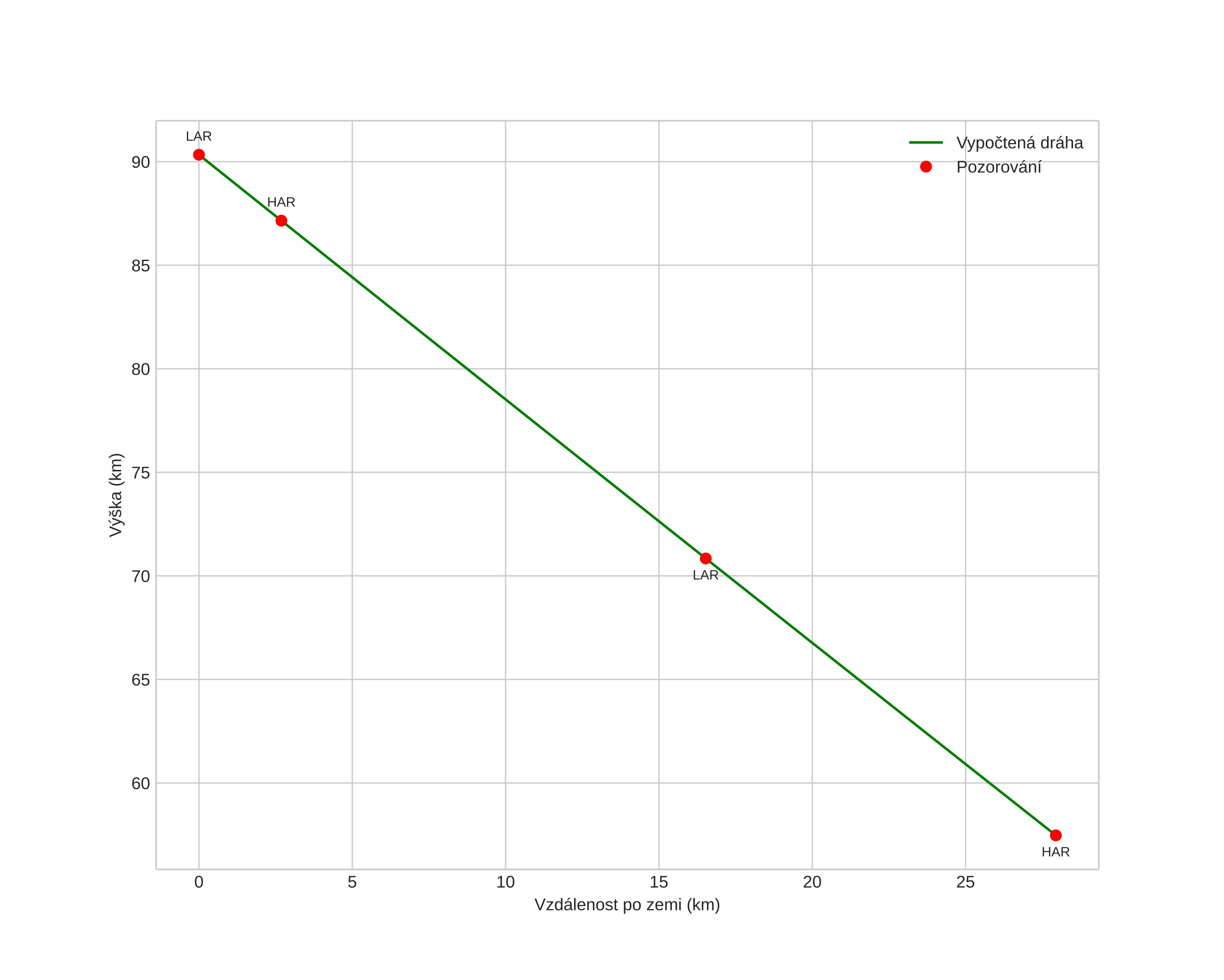
height profile
Atmosférická dráha meteoru:
Počáteční výška: 90,8 km
Konečná výška: 57,6 km
Počáteční poloha: 59,096N 15,229E
Konečná poloha: 59,167N 15,713E
Směr: 74,0°
Sklon: 49,2°
VstupnĂ­ rychlost: 34,4 km/s
Rektascenze radiantu: 07:42 (115,5°)
Deklinace radiantu: 32,7°
MeteorickĂ˝ roj: Geminidy
Elementy dráhy meteoroidu:
Vzdálenost v periheliu: 0,144 AU
Excentricita: 0,876
Sklon dráhy: 23,7°
Délka vzestupného uzlu: 262,1°
Argument perihelia: 326,0°
Střední anomálie: 329,3°
Epocha: 2021 DEC 14 04:31:28
orbit plot

NeinteraktivnĂ­ graf | InteraktivnĂ­ graf

position vs time
speed and acceleration