🇳🇴 🇬🇧 🇩🇪 🇨🇿 🇫🇮

Meteor, poloha: Verdal 2021-12-14 04:35:09 UTC

Soubor KML  |  InteraktivnĂ­ mapa

Mapa zobrazuje dráhy meteoru. Světlejší čáry ukazují směry od pozorovacích stanic při objevení se meteoru a tmavší čáry, kde byl naposledy viděn. Modrá šipka značí viditelnou dráhu meteoru.

static map
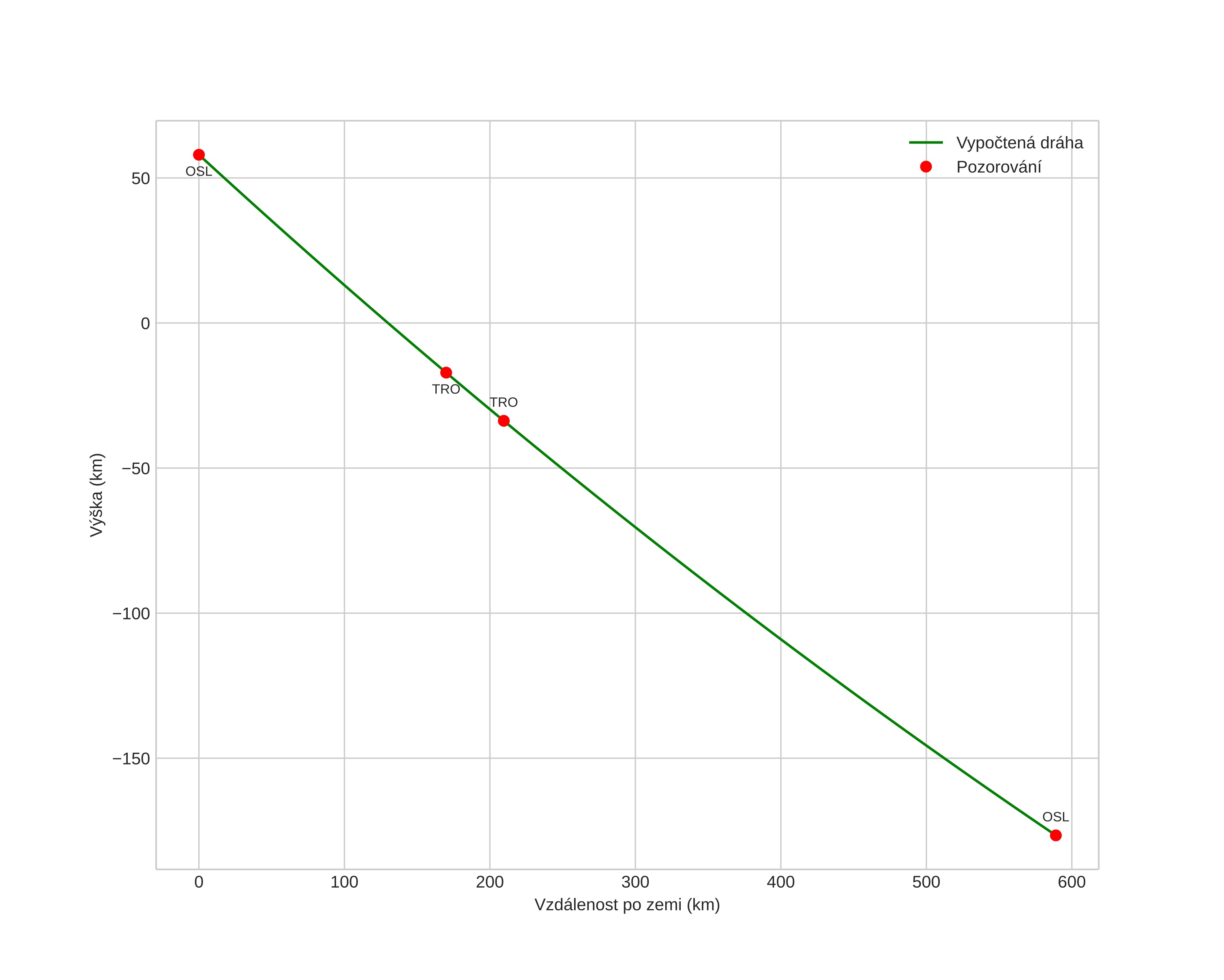
height profile
Atmosférická dráha meteoru:
Počáteční výška: -403,6 km
Konečná výška: 18,7 km
Počáteční poloha: 66,448N 55,583E
Konečná poloha: 63,745N 11,569E
Směr: 282,2°
Sklon: -11,7°
VstupnĂ­ rychlost: 54,1 km/s
Rektascenze radiantu: 19:25 (291,3°)
Deklinace radiantu: -17,2°
MeteorickĂ˝ roj: sporadickĂ˝
Elementy dráhy meteoroidu:
Vzdálenost v periheliu: 0,710 AU
Excentricita: 3,697
Sklon dráhy: 4,5°
Délka vzestupného uzlu: 262,1°
Argument perihelia: 130,3°
Střední anomálie: 127,8°
Epocha: 2021 DEC 14 04:35:09
orbit plot

NeinteraktivnĂ­ graf | InteraktivnĂ­ graf

position vs time
speed and acceleration