🇳🇴 🇬🇧 🇩🇪 🇨🇿 🇫🇮

Meteor, poloha: Olderdalen 2021-12-14 06:51:52 UTC

Soubor KML  |  InteraktivnĂ­ mapa

Mapa zobrazuje dráhy meteoru. Světlejší čáry ukazují směry od pozorovacích stanic při objevení se meteoru a tmavší čáry, kde byl naposledy viděn. Modrá šipka značí viditelnou dráhu meteoru.

static map
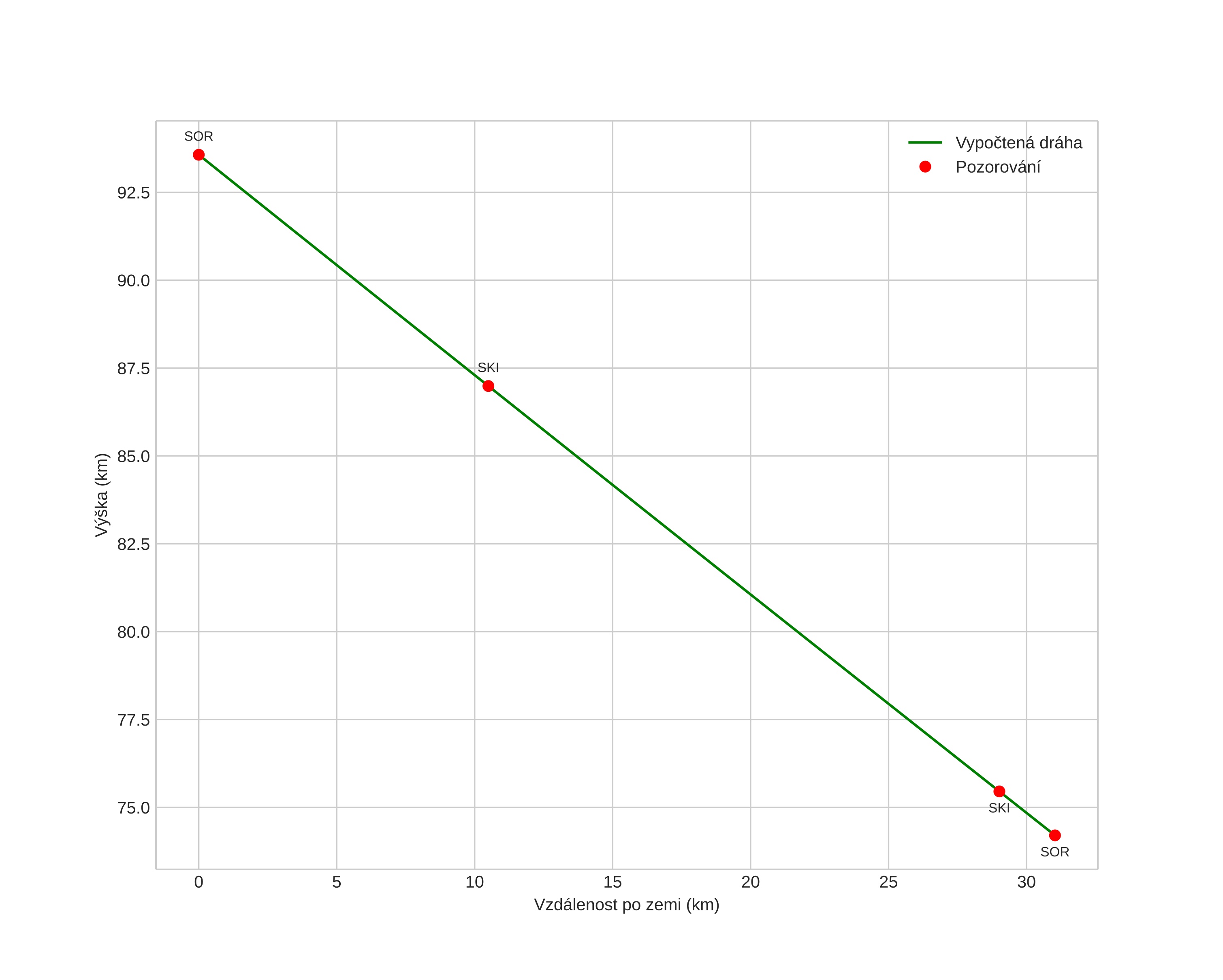
height profile
Atmosférická dráha meteoru:
Počáteční výška: 91,0 km
Konečná výška: 73,9 km
Počáteční poloha: 69,190N 20,275E
Konečná poloha: 69,125N 20,939E
Směr: 105,1°
Sklon: 32,1°
VstupnĂ­ rychlost: 35,6 km/s
Rektascenze radiantu: 07:36 (114,0°)
Deklinace radiantu: 33,5°
MeteorickĂ˝ roj: Geminidy
Elementy dráhy meteoroidu:
Vzdálenost v periheliu: 0,152 AU
Excentricita: 0,885
Sklon dráhy: 25,3°
Délka vzestupného uzlu: 262,2°
Argument perihelia: 323,3°
Střední anomálie: 335,3°
Epocha: 2021 DEC 14 06:51:52
orbit plot

NeinteraktivnĂ­ graf | InteraktivnĂ­ graf

position vs time
speed and acceleration