🇳🇴 🇬🇧 🇩🇪 🇨🇿 🇫🇮

Meteor, poloha: Andenes 2021-12-14 14:38:02 UTC

Soubor KML  |  InteraktivnĂ­ mapa

Mapa zobrazuje dráhy meteoru. Světlejší čáry ukazují směry od pozorovacích stanic při objevení se meteoru a tmavší čáry, kde byl naposledy viděn. Modrá šipka značí viditelnou dráhu meteoru.

static map
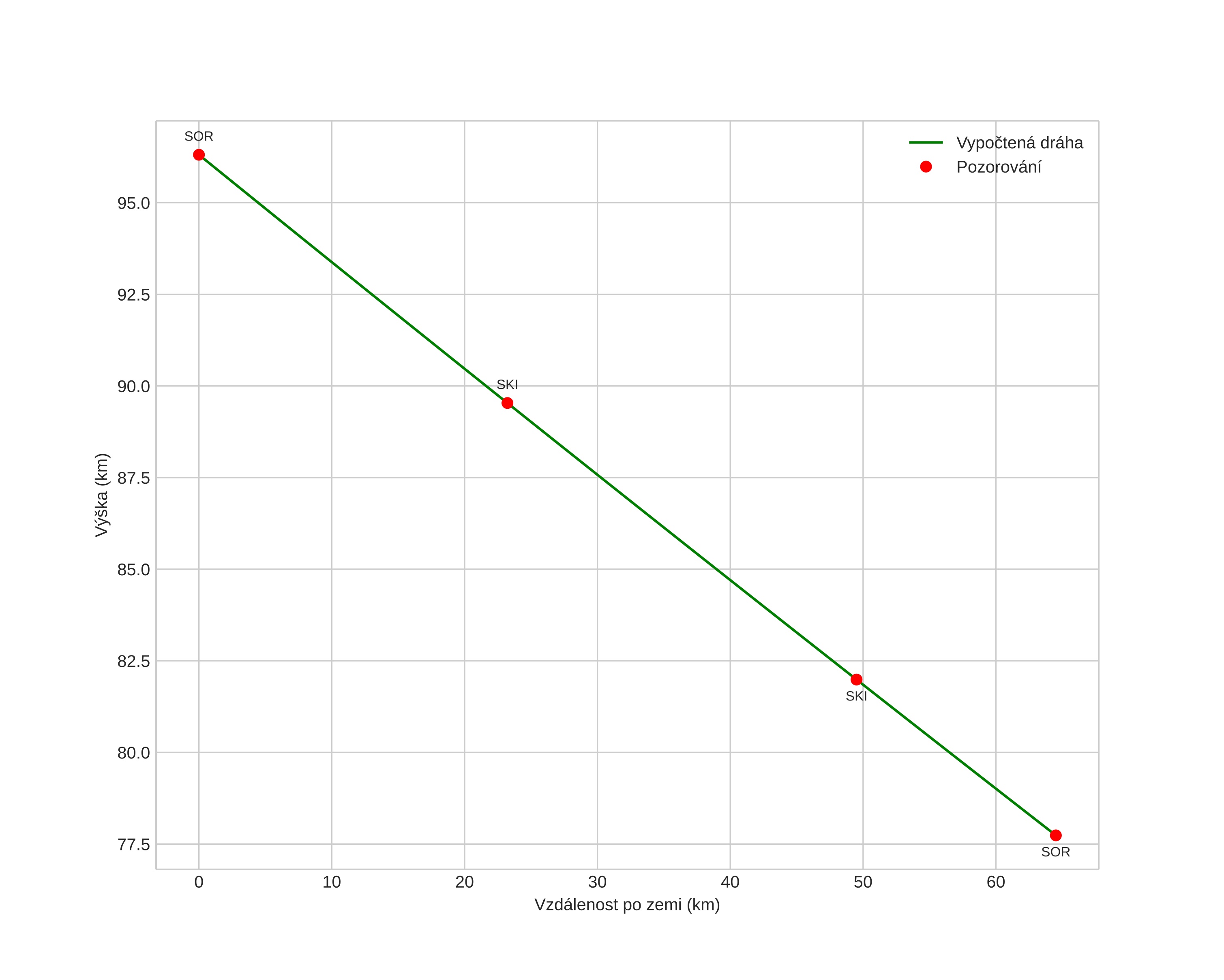
height profile
Atmosférická dráha meteoru:
Počáteční výška: 92,5 km
Konečná výška: 76,7 km
Počáteční poloha: 69,643N 16,756E
Konečná poloha: 69,237N 16,370E
Směr: 198,7°
Sklon: 18,4°
VstupnĂ­ rychlost: 36,5 km/s
Rektascenze radiantu: 07:49 (117,5°)
Deklinace radiantu: 35,6°
MeteorickĂ˝ roj: Geminidy
Elementy dráhy meteoroidu:
Vzdálenost v periheliu: 0,145 AU
Excentricita: 0,887
Sklon dráhy: 32,9°
Délka vzestupného uzlu: 262,5°
Argument perihelia: 324,6°
Střední anomálie: 334,0°
Epocha: 2021 DEC 14 14:38:02
orbit plot

NeinteraktivnĂ­ graf | InteraktivnĂ­ graf

position vs time
speed and acceleration