🇳🇴 🇬🇧 🇩🇪 🇨🇿 🇫🇮

Meteor, poloha: Storslett 2021-12-14 19:10:07 UTC

Soubor KML  |  InteraktivnĂ­ mapa

Mapa zobrazuje dráhy meteoru. Světlejší čáry ukazují směry od pozorovacích stanic při objevení se meteoru a tmavší čáry, kde byl naposledy viděn. Modrá šipka značí viditelnou dráhu meteoru.

static map
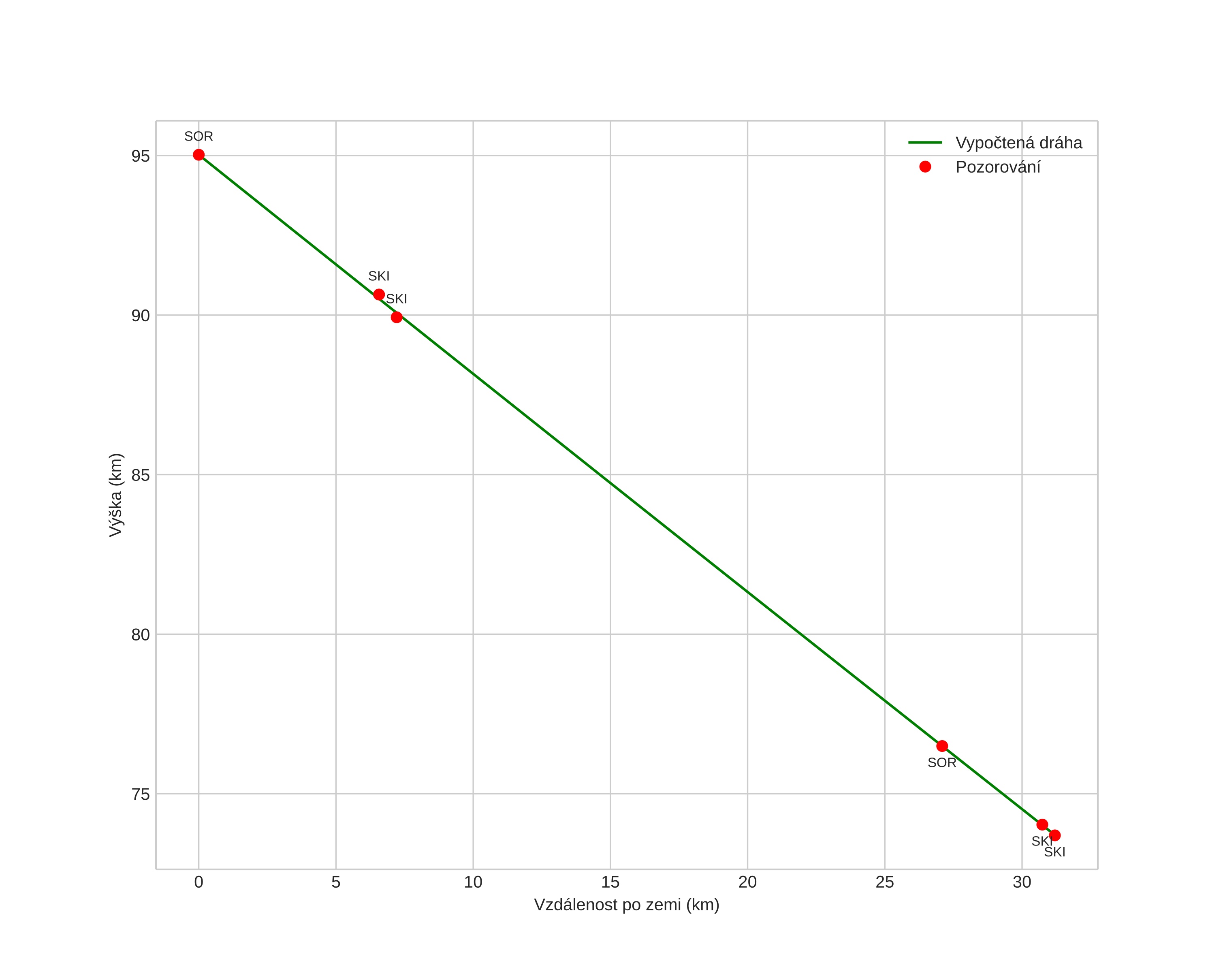
height profile
Atmosférická dráha meteoru:
Počáteční výška: 96,3 km
Konečná výška: 71,4 km
Počáteční poloha: 69,826N 22,041E
Konečná poloha: 69,788N 21,094E
Směr: 263,8°
Sklon: 34,2°
VstupnĂ­ rychlost: 46,4 km/s
Rektascenze radiantu: 07:42 (115,5°)
Deklinace radiantu: 33,3°
MeteorickĂ˝ roj: sporadickĂ˝
Elementy dráhy meteoroidu:
Vzdálenost v periheliu: 0,091 AU
Excentricita: 0,986
Sklon dráhy: 45,4°
Délka vzestupného uzlu: 262,7°
Argument perihelia: 326,0°
Střední anomálie: 358,1°
Epocha: 2021 DEC 14 19:10:07
orbit plot

NeinteraktivnĂ­ graf | InteraktivnĂ­ graf

position vs time
speed and acceleration