🇳🇴 🇬🇧 🇩🇪 🇨🇿 🇫🇮

Meteor, poloha: Malmberget 2021-12-14 21:28:53 UTC

Soubor KML  |  InteraktivnĂ­ mapa

Mapa zobrazuje dráhy meteoru. Světlejší čáry ukazují směry od pozorovacích stanic při objevení se meteoru a tmavší čáry, kde byl naposledy viděn. Modrá šipka značí viditelnou dráhu meteoru.

static map
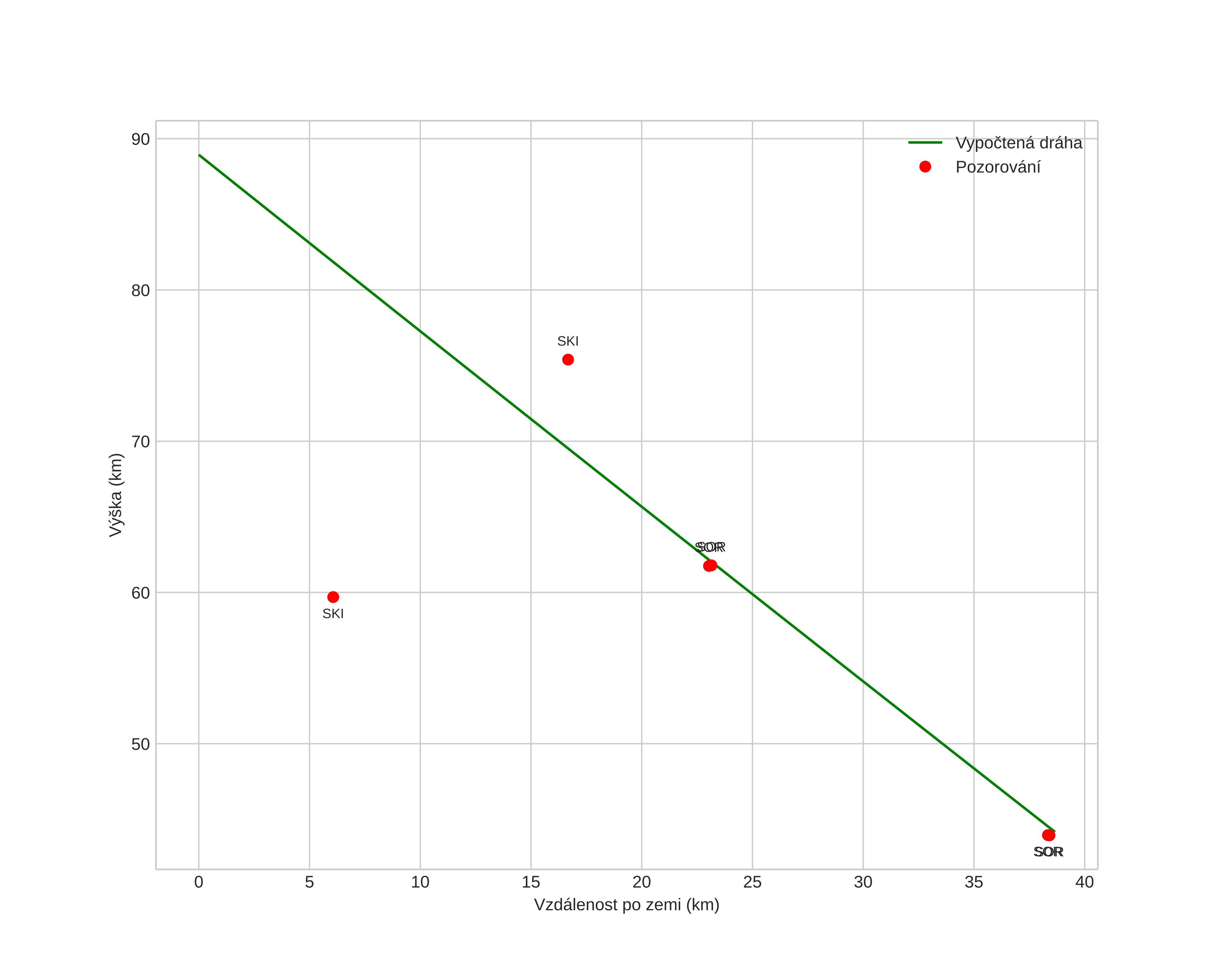
height profile
Atmosférická dráha meteoru:
Počáteční výška: 100,2 km
Konečná výška: 62,2 km
Počáteční poloha: 67,680N 22,261E
Konečná poloha: 67,844N 21,499E
Směr: 299,9°
Sklon: 45,9°
VstupnĂ­ rychlost: 45,3 km/s
Rektascenze radiantu: 07:33 (113,4°)
Deklinace radiantu: 31,6°
MeteorickĂ˝ roj: sporadickĂ˝
Elementy dráhy meteoroidu:
Vzdálenost v periheliu: 0,090 AU
Excentricita: 0,985
Sklon dráhy: 35,3°
Délka vzestupného uzlu: 262,8°
Argument perihelia: 326,1°
Střední anomálie: 357,9°
Epocha: 2021 DEC 14 21:28:53
orbit plot

NeinteraktivnĂ­ graf | InteraktivnĂ­ graf

position vs time
speed and acceleration