🇳🇴 🇬🇧 🇩🇪 🇨🇿 🇫🇮

Meteor, poloha: Geilo 2021-12-19 00:48:58 UTC

Soubor KML  |  InteraktivnĂ­ mapa

Mapa zobrazuje dráhy meteoru. Světlejší čáry ukazují směry od pozorovacích stanic při objevení se meteoru a tmavší čáry, kde byl naposledy viděn. Modrá šipka značí viditelnou dráhu meteoru.

static map
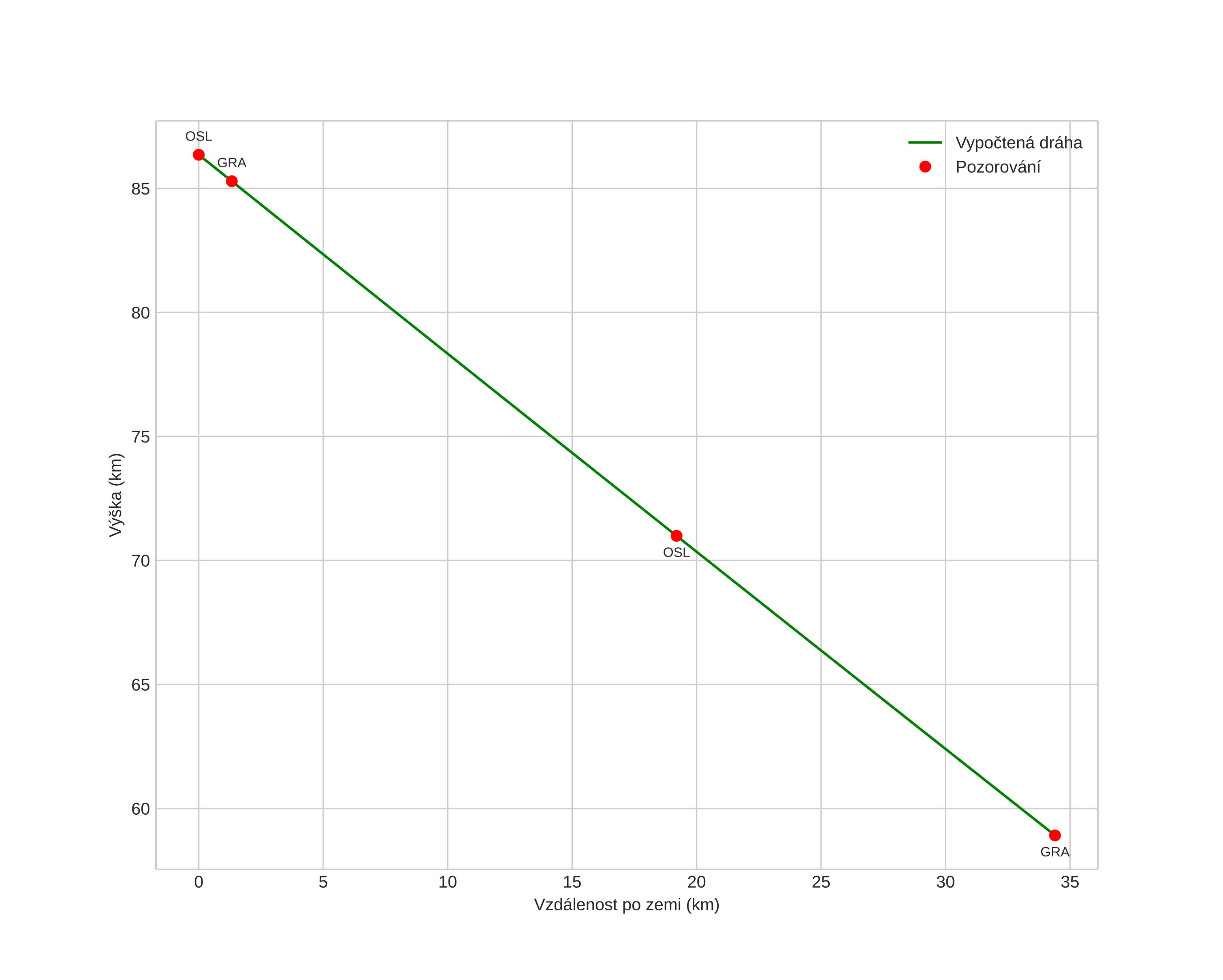
height profile
Atmosférická dráha meteoru:
Počáteční výška: 88,8 km
Konečná výška: 67,0 km
Počáteční poloha: 60,815N 8,128E
Konečná poloha: 60,579N 7,935E
Směr: 201,9°
Sklon: 37,6°
VstupnĂ­ rychlost: 28,0 km/s
Rektascenze radiantu: 16:40 (250,1°)
Deklinace radiantu: 61,1°
MeteorickĂ˝ roj: sporadickĂ˝
Elementy dráhy meteoroidu:
Vzdálenost v periheliu: 0,980 AU
Excentricita: 0,470
Sklon dráhy: 44,0°
Délka vzestupného uzlu: 267,0°
Argument perihelia: 171,0°
Střední anomálie: 2,9°
Epocha: 2021 DEC 19 00:48:58
orbit plot

NeinteraktivnĂ­ graf | InteraktivnĂ­ graf

position vs time
speed and acceleration