🇳🇴 🇬🇧 🇩🇪 🇨🇿 🇫🇮

Meteor, poloha: Mandal 2021-12-19 19:45:44 UTC

Soubor KML  |  InteraktivnĂ­ mapa

Mapa zobrazuje dráhy meteoru. Světlejší čáry ukazují směry od pozorovacích stanic při objevení se meteoru a tmavší čáry, kde byl naposledy viděn. Modrá šipka značí viditelnou dráhu meteoru.

static map
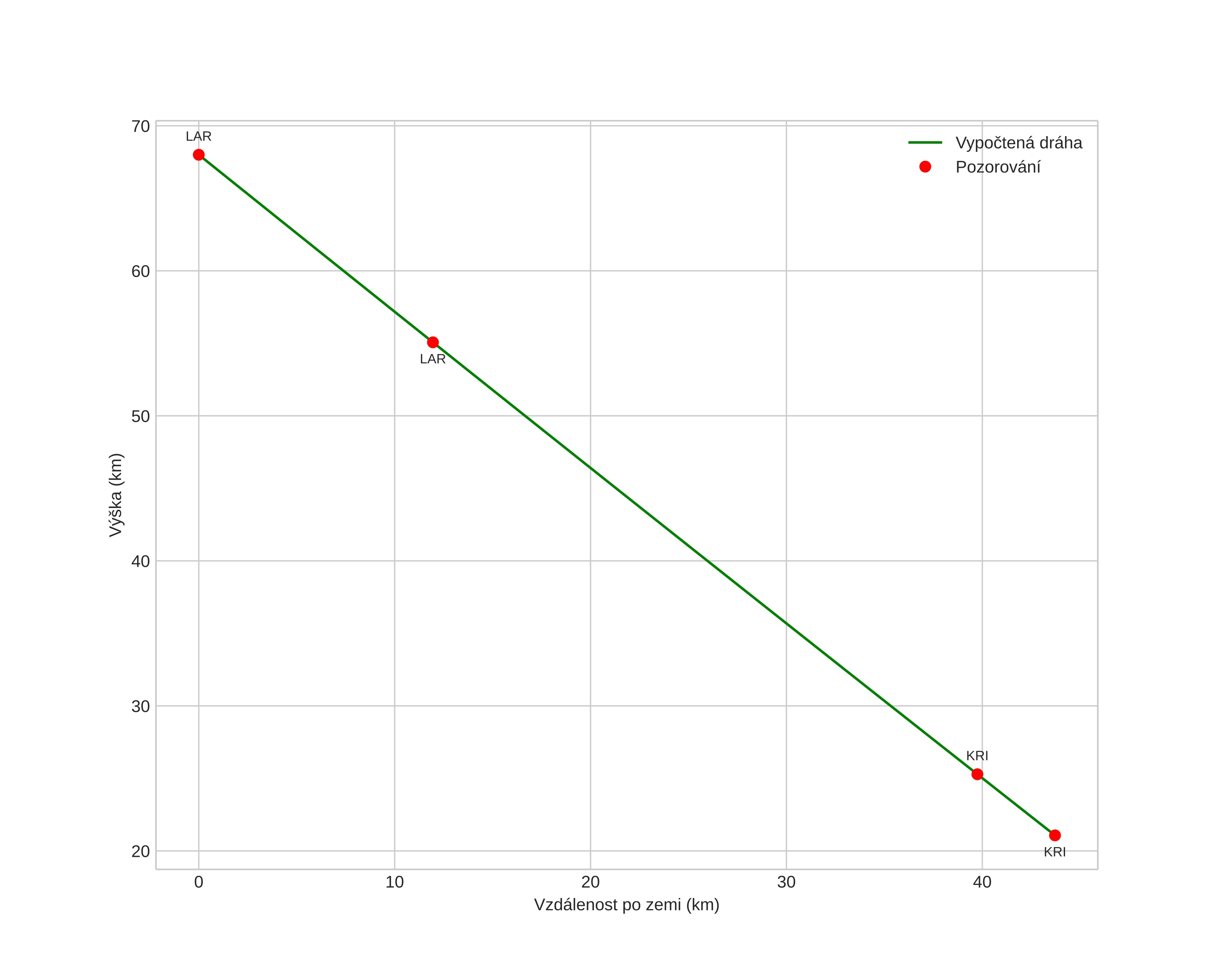
height profile
Atmosférická dráha meteoru:
Počáteční výška: 67,3 km
Konečná výška: 22,1 km
Počáteční poloha: 58,580N 7,493E
Konečná poloha: 58,196N 7,525E
Směr: 177,5°
Sklon: 46,6°
VstupnĂ­ rychlost: 37,5 km/s
Rektascenze radiantu: 14:48 (222,1°)
Deklinace radiantu: 77,0°
MeteorickĂ˝ roj: Ursidy
Elementy dráhy meteoroidu:
Vzdálenost v periheliu: 0,942 AU
Excentricita: 1,014
Sklon dráhy: 55,0°
Délka vzestupného uzlu: 267,8°
Argument perihelia: 203,7°
Střední anomálie: -0,0°
Epocha: 2021 DEC 19 19:45:44
orbit plot

NeinteraktivnĂ­ graf | InteraktivnĂ­ graf

position vs time
speed and acceleration