🇳🇴 🇬🇧 🇩🇪 🇨🇿 🇫🇮

Meteor, poloha: Vigrestad 2021-12-24 17:49:53 UTC

Soubor KML  |  InteraktivnĂ­ mapa

Mapa zobrazuje dráhy meteoru. Světlejší čáry ukazují směry od pozorovacích stanic při objevení se meteoru a tmavší čáry, kde byl naposledy viděn. Modrá šipka značí viditelnou dráhu meteoru.

static map
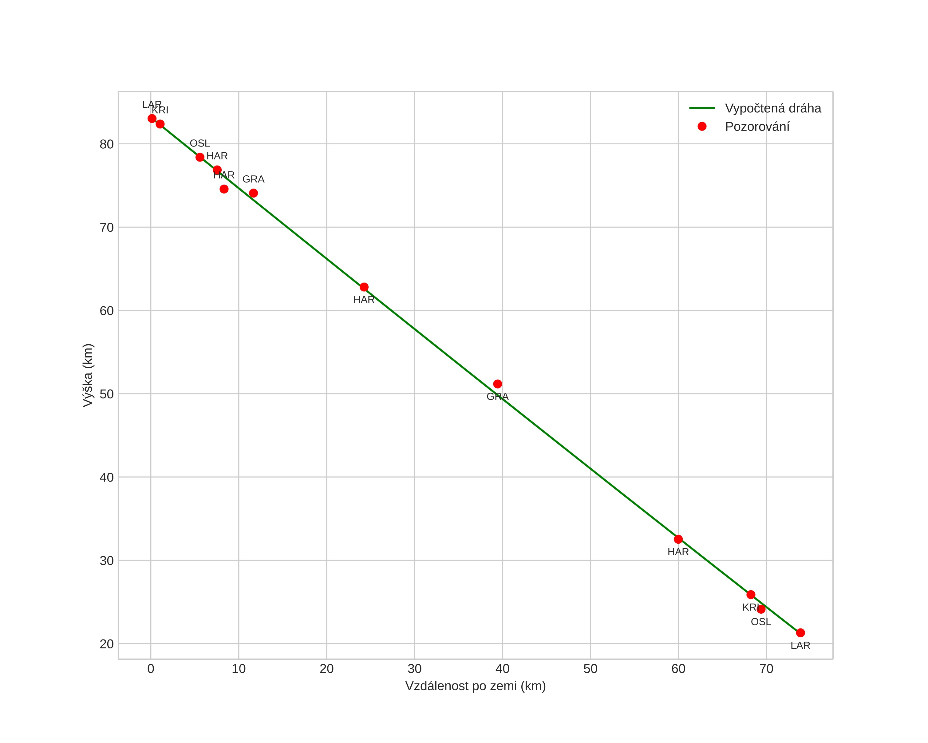
height profile
Atmosférická dráha meteoru:
Počáteční výška: 90,3 km
Konečná výška: 22,2 km
Počáteční poloha: 57,863N 6,686E
Konečná poloha: 58,381N 5,628E
Směr: 313,3°
Sklon: 38,8°
VstupnĂ­ rychlost: 16,5 km/s
Rektascenze radiantu: 03:02 (45,6°)
Deklinace radiantu: 6,5°
MeteorickĂ˝ roj: sporadickĂ˝
Elementy dráhy meteoroidu:
Vzdálenost v periheliu: 0,938 AU
Excentricita: 0,771
Sklon dráhy: 3,1°
Délka vzestupného uzlu: 92,9°
Argument perihelia: 26,6°
Střední anomálie: 357,7°
Epocha: 2021 DEC 24 17:49:53
orbit plot

NeinteraktivnĂ­ graf | InteraktivnĂ­ graf

position vs time
speed and acceleration