🇳🇴 🇬🇧 🇩🇪 🇨🇿 🇫🇮

Meteor, poloha: Rjukan 2021-12-31 15:21:06 UTC

Soubor KML  |  InteraktivnĂ­ mapa

Mapa zobrazuje dráhy meteoru. Světlejší čáry ukazují směry od pozorovacích stanic při objevení se meteoru a tmavší čáry, kde byl naposledy viděn. Modrá šipka značí viditelnou dráhu meteoru.

static map
height profile
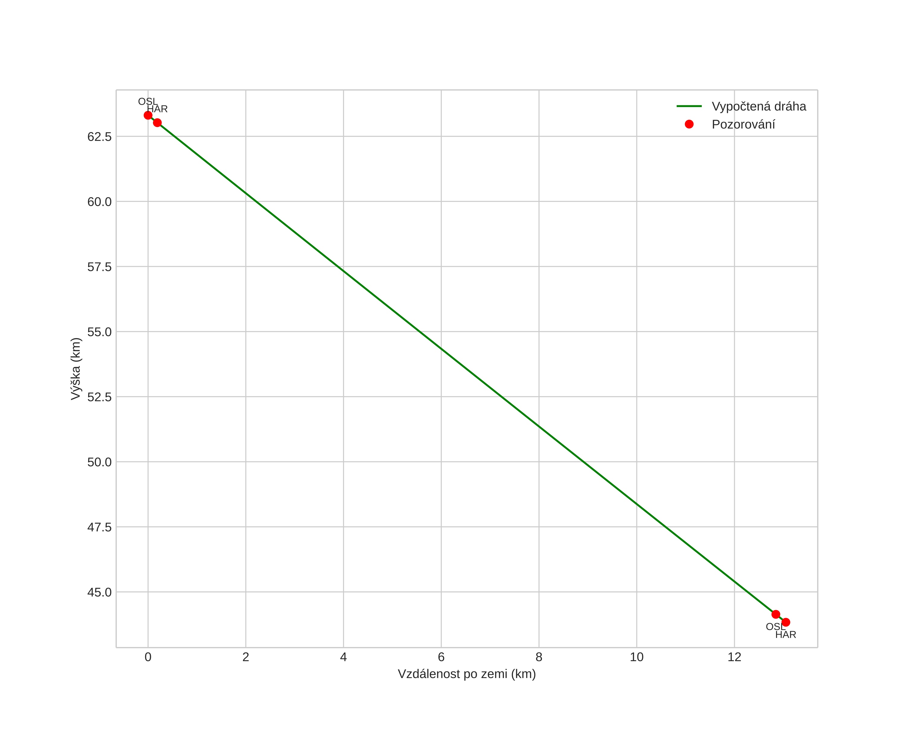
Atmosférická dráha meteoru:
Počáteční výška: 63,3 km
Konečná výška: 43,8 km
Počáteční poloha: 60,139N 8,618E
Konečná poloha: 60,107N 8,391E
Směr: 254,4°
Sklon: 56,2°
VstupnĂ­ rychlost: 16,8 km/s
Rektascenze radiantu: 03:04 (46,2°)
Deklinace radiantu: 49,9°
MeteorickĂ˝ roj: sporadickĂ˝
Elementy dráhy meteoroidu:
Vzdálenost v periheliu: 0,931 AU
Excentricita: 0,675
Sklon dráhy: 9,7°
Délka vzestupného uzlu: 279,8°
Argument perihelia: 209,8°
Střední anomálie: 355,6°
Epocha: 2021 DEC 31 15:21:06
orbit plot

NeinteraktivnĂ­ graf | InteraktivnĂ­ graf

position vs time
speed and acceleration