🇳🇴 🇬🇧 🇩🇪 🇨🇿 🇫🇮

Meteor, poloha: Vestbygd 2022-01-03 18:18:52 UTC

Soubor KML  |  InteraktivnĂ­ mapa

Mapa zobrazuje dráhy meteoru. Světlejší čáry ukazují směry od pozorovacích stanic při objevení se meteoru a tmavší čáry, kde byl naposledy viděn. Modrá šipka značí viditelnou dráhu meteoru.

static map
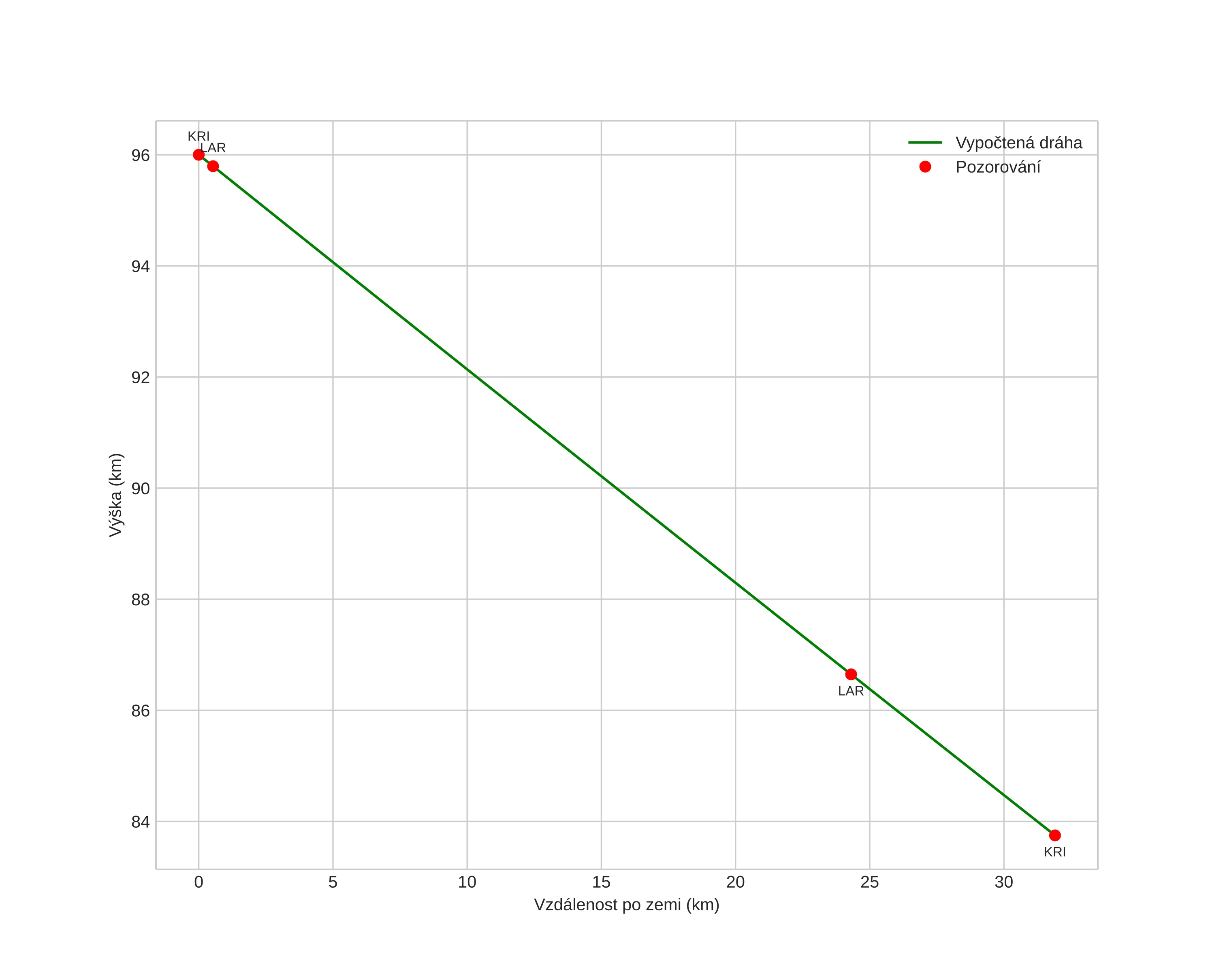
height profile
Atmosférická dráha meteoru:
Počáteční výška: 96,0 km
Konečná výška: 83,7 km
Počáteční poloha: 58,420N 6,388E
Konečná poloha: 58,147N 6,554E
Směr: 162,2°
Sklon: 21,1°
VstupnĂ­ rychlost: 42,5 km/s
Rektascenze radiantu: 15:23 (230,8°)
Deklinace radiantu: 49,1°
MeteorickĂ˝ roj: Kvadrantidy
Elementy dráhy meteoroidu:
Vzdálenost v periheliu: 0,977 AU
Excentricita: 0,678
Sklon dráhy: 71,6°
Délka vzestupného uzlu: 283,0°
Argument perihelia: 169,9°
Střední anomálie: 1,4°
Epocha: 2022 JAN 03 18:18:52
orbit plot

NeinteraktivnĂ­ graf | InteraktivnĂ­ graf

position vs time
speed and acceleration