🇳🇴 🇬🇧 🇩🇪 🇨🇿 🇫🇮

Meteor, poloha: Gjerstad 2022-01-04 06:42:57 UTC

Soubor KML  |  Interaktivní mapa

Mapa zobrazuje dráhy meteoru. Světlejší čáry ukazují směry od pozorovacích stanic při objevení se meteoru a tmavší čáry, kde byl naposledy viděn. Modrá šipka značí viditelnou dráhu meteoru.

static map
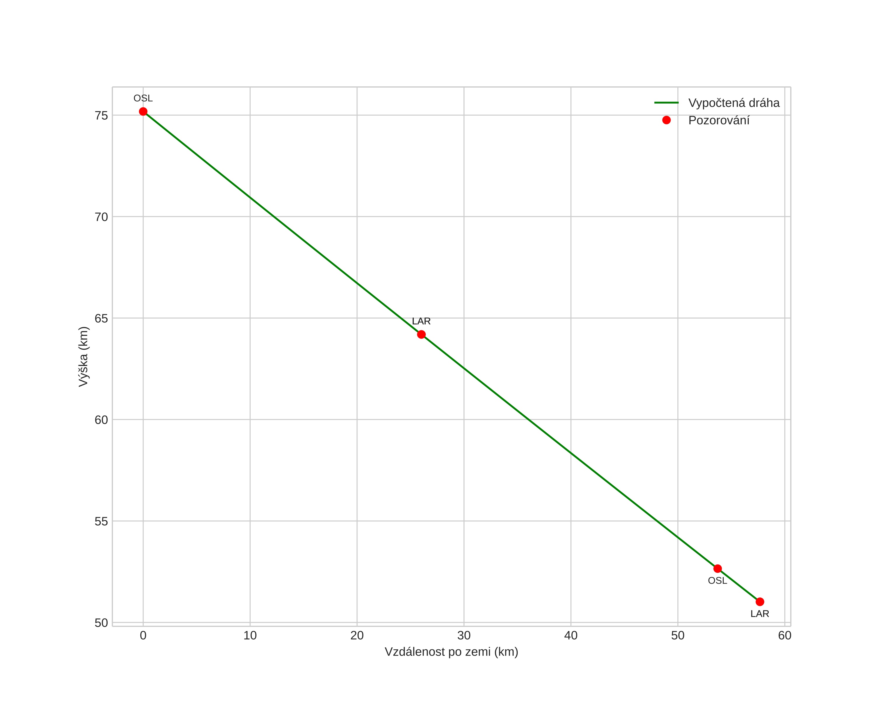
height profile
Atmosférická dráha meteoru:
Počáteční výška: 75,2 km
Konečná výška: 51,0 km
Počáteční poloha: 58,858N 10,166E
Konečná poloha: 58,869N 9,164E
Směr: 271,6°
Sklon: 22,8°
Vstupní rychlost: 11,0 km/s
orbit plot
position vs time
speed and acceleration