🇳🇴 🇬🇧 🇩🇪 🇨🇿 🇫🇮

Meteor, poloha: Fjerritslev 2022-01-29 19:06:26 UTC

Soubor KML  |  InteraktivnĂ­ mapa

Mapa zobrazuje dráhy meteoru. Světlejší čáry ukazují směry od pozorovacích stanic při objevení se meteoru a tmavší čáry, kde byl naposledy viděn. Modrá šipka značí viditelnou dráhu meteoru.

static map
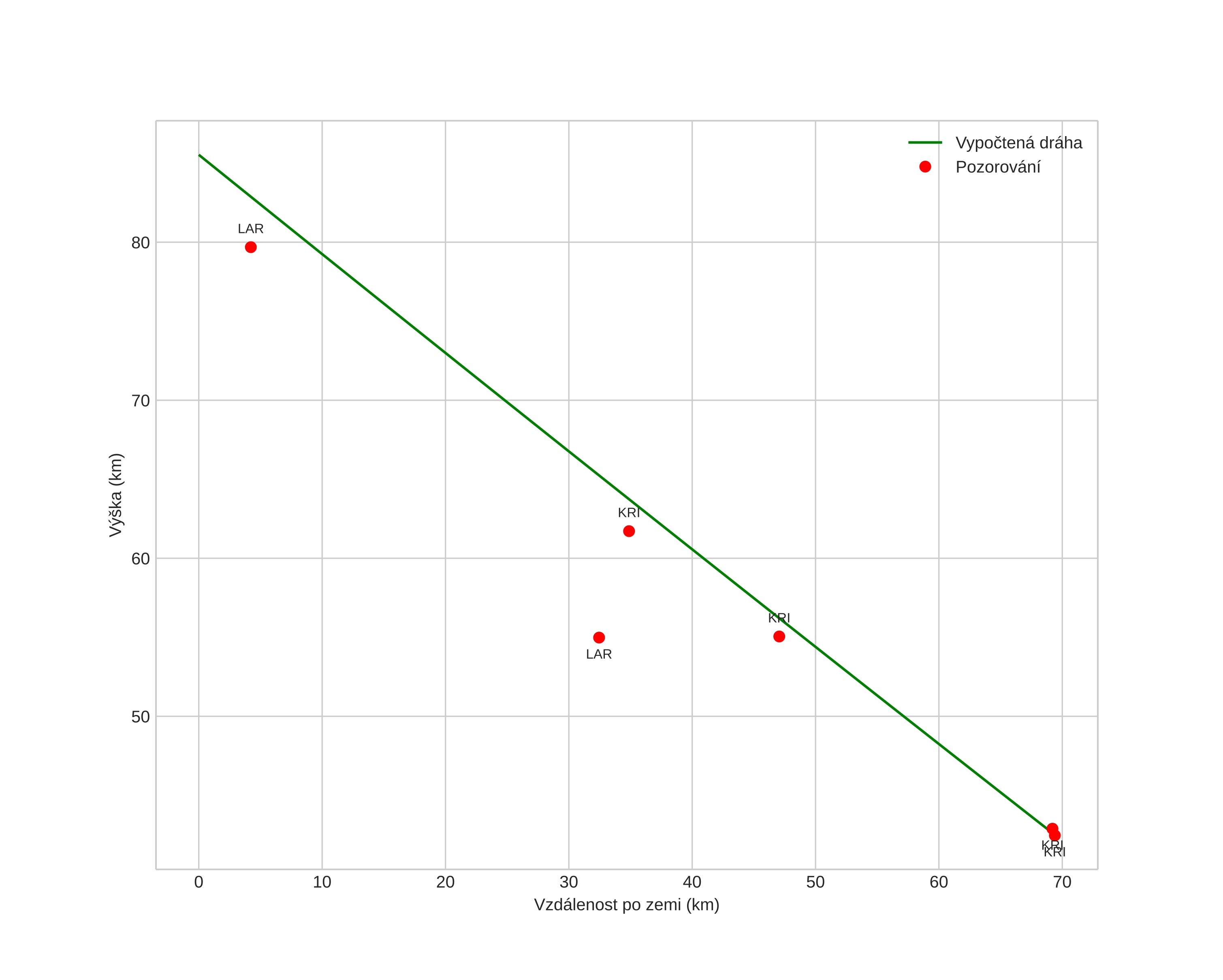
height profile
Atmosférická dráha meteoru:
Počáteční výška: 85,4 km
Konečná výška: 42,6 km
Počáteční poloha: 57,515N 10,293E
Konečná poloha: 57,530N 9,132E
Směr: 271,9°
Sklon: 31,7°
VstupnĂ­ rychlost: 23,2 km/s
Rektascenze radiantu: 09:12 (138,2°)
Deklinace radiantu: 22,3°
MeteorickĂ˝ roj: sporadickĂ˝
Elementy dráhy meteoroidu:
Vzdálenost v periheliu: 0,554 AU
Excentricita: 0,638
Sklon dráhy: 4,1°
Délka vzestupného uzlu: 309,5°
Argument perihelia: 277,1°
Střední anomálie: 334,2°
Epocha: 2022 JAN 29 19:06:26
orbit plot

NeinteraktivnĂ­ graf | InteraktivnĂ­ graf

position vs time
speed and acceleration