🇳🇴 🇬🇧 🇩🇪 🇨🇿 🇫🇮

Meteor, poloha: Langesund 2022-01-30 17:09:13 UTC

Gran – 1
Gran – 1
Harestua – 4
Harestua – 4
Kristiansand – 3
Kristiansand – 3
Larvik – 4
Larvik – 4
Voksenlia – 1
Voksenlia – 1

Soubor KML  | Interaktivní mapa

map

Mapa zobrazuje dráhy meteoru. Světlejší čáry ukazují směry od pozorovacích stanic při objevení se meteoru a tmavší čáry, kde byl naposledy viděn. Modrá šipka značí viditelnou dráhu meteoru.

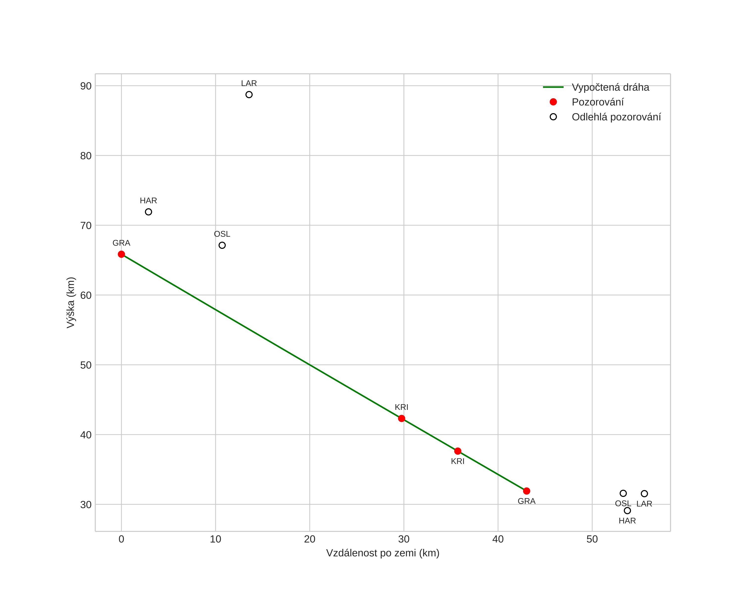
height profile
Atmosférická dráha meteoru:
Počáteční výška: 84,2 km
Konečná výška: 23,8 km
Počáteční poloha: 58,705N 8,457E
Konečná poloha: 58,716N 9,713E
Směr: 88,5°
Sklon: 39,8°
Vstupní rychlost: 13,6 km/s
Rektascenze radiantu: 21:21 (320,3°)
Deklinace radiantu: 20,4°
Meteorický roj: sporadický
Elementy dráhy meteoroidu:
Vzdálenost v periheliu: 0,900 AU
Excentricita: 0,310
Sklon dráhy: 7,9°
Délka vzestupného uzlu: 310,5°
Argument perihelia: 129,5°
Střední anomálie: 26,9°
Epocha: 2022 JAN 30 17:09:13
orbit

Neinteraktivní graf | Interaktivní graf

position vs time
speed & acceleration