🇳🇴 🇬🇧 🇩🇪 🇨🇿 🇫🇮

Meteor Kirunan yllä 2022-02-02 16:15:48 UTC

KML-tiedosto  |  Interaktiivinen kartta

Kartta näyttää meteorin suuntahavainnot. Vaaleammat viivat näyttävät suunnat havaintoasemilta meteorin ilmestyessä, ja tummemmat viivat näyttävät, missä se viimeksi nähtiin. Sininen nuoli näyttää meteorin näkyvän lennon.

static map
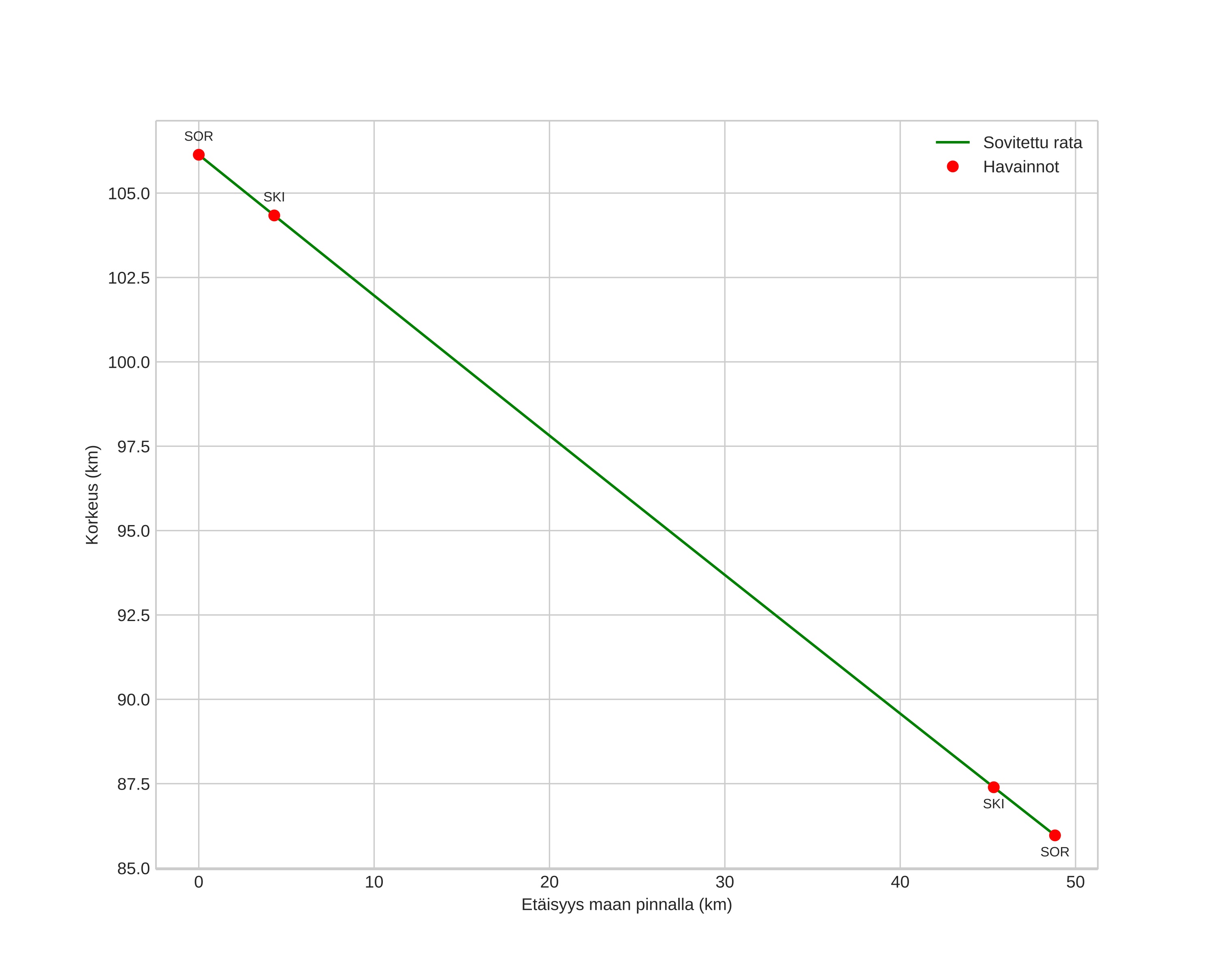
height profile
Meteorin ilmakehärata:
Alkukorkeus: 106,1 km
Loppukorkeus: 86,0 km
Alkupiste: 68,538N 20,293E
Loppupiste: 68,134N 20,763E
Suunta: 156,5°
Kallistuskulma: 22,4°
Tulonopeus: 48,5 km/s
Radiantin R,A,: 16:25 (246,4°)
Radiantin Dekl,: 40,6°
Meteoriparvi: Sporadinen
Meteoroidin rataelementit:
Perihelietäisyys: 0,979 AU
Eksentrisyys: 0,971
Inklinaatio: 79,8°
Nousevan solmun pituus: 313,5°
Perihelin argumentti: 170,7°
Keskianomalia: 0,0°
Epookki: 2022 FEB 02 16:15:48
orbit plot

Ei-interaktiivinen kuvaaja | Interaktiivinen kuvaaja

position vs time
speed and acceleration